Form 309 Application for Registration of an Out-of-State Financial Institution - Texas

Form 309 Application for Registration of an Out-of-State Financial Institution - Texas

What Is Form 309?

This is a legal form that was released by the Texas Secretary of State - a government authority operating within Texas. As of today, no separate filing guidelines for the form are provided by the issuing department.

FAQ

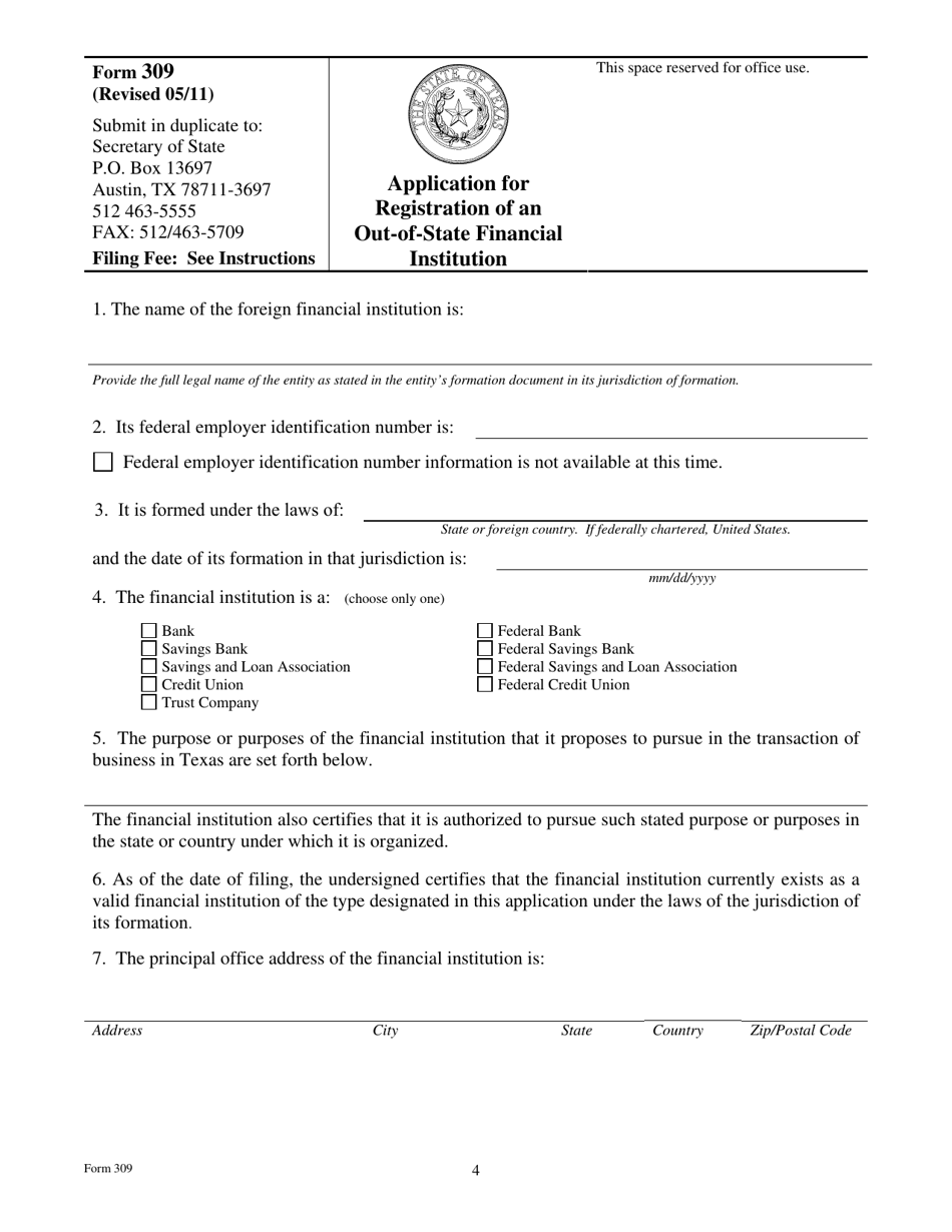
Q: What is Form 309?
A: Form 309 is the Application for Registration of an Out-of-State Financial Institution in Texas.

Q: Who needs to file Form 309?
A: Out-of-state financial institutions that want to operate in Texas need to file Form 309.

Q: What is the purpose of Form 309?
A: The purpose of Form 309 is to register an out-of-state financial institution to operate in Texas.

Q: What information is required on Form 309?
A: Form 309 requires information such as the name and address of the financial institution, details about its operations, and the authorized representative.

Q: Is Form 309 only required for banks?
A: No, Form 309 is not only required for banks. It is required for all out-of-state financial institutions, including credit unions and trust companies.

Q: What happens after Form 309 is filed?
A: After Form 309 is filed, the Texas Department of Banking will review the application and notify the financial institution of their registration status.

Q: Is there a deadline for filing Form 309?
A: There is no specific deadline for filing Form 309, but it is recommended to file well in advance of the desired start date of operations in Texas.

ADVERTISEMENT

Form Details:

  • Released on May 1, 2011;
  • The latest edition provided by the Texas Secretary of State;
  • Easy to use and ready to print;
  • Quick to customize;
  • Compatible with most PDF-viewing applications;
  • Fill out the form in our online filing application.

Download a fillable version of Form 309 by clicking the link below or browse more documents and templates provided by the Texas Secretary of State.

Download Form 309 Application for Registration of an Out-of-State Financial Institution - Texas

4.5 of 5 (46 votes)
  • Form 309 Application for Registration of an Out-of-State Financial Institution - Texas

    1

  • Form 309 Application for Registration of an Out-of-State Financial Institution - Texas, Page 2

    2

  • Form 309 Application for Registration of an Out-of-State Financial Institution - Texas, Page 3

    3

  • Form 309 Application for Registration of an Out-of-State Financial Institution - Texas, Page 4

    4

  • Form 309 Application for Registration of an Out-of-State Financial Institution - Texas, Page 5

    5

  • Form 309 Application for Registration of an Out-of-State Financial Institution - Texas, Page 6

    6

  • Form 309 Application for Registration of an Out-of-State Financial Institution - Texas, Page 1
  • Form 309 Application for Registration of an Out-of-State Financial Institution - Texas, Page 2
  • Form 309 Application for Registration of an Out-of-State Financial Institution - Texas, Page 3
  • Form 309 Application for Registration of an Out-of-State Financial Institution - Texas, Page 4
  • Form 309 Application for Registration of an Out-of-State Financial Institution - Texas, Page 5
  • Form 309 Application for Registration of an Out-of-State Financial Institution - Texas, Page 6
Prev 1 2 3 4 5 6 Next
ADVERTISEMENT

Related Documents