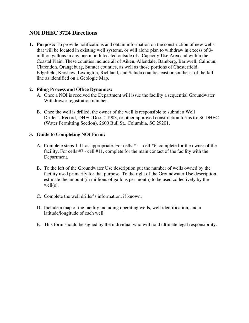
DHEC Form 3724 Groundwater Withdrawal Notice of Intent (Noi) New Well Construction - South Carolina

DHEC Form 3724 Groundwater Withdrawal Notice of Intent (Noi) New Well Construction - South Carolina

What Is DHEC Form 3724?

This is a legal form that was released by the South Carolina Department of Health and Environmental Control - a government authority operating within South Carolina. As of today, no separate filing guidelines for the form are provided by the issuing department.

FAQ

Q: What is Form 3724?
A: Form 3724 is the Groundwater Withdrawal Notice of Intent (NOI) for new well construction in South Carolina.

Q: Who is required to submit Form 3724?
A: Anyone planning to construct a new well in South Carolina for the purpose of groundwater withdrawal is required to submit Form 3724.

Q: What information is required in Form 3724?
A: Form 3724 requires information such as the location of the well, purpose of groundwater withdrawal, estimated withdrawal rate, and details about the construction of the well.

Q: When should Form 3724 be submitted?
A: Form 3724 should be submitted at least ten days prior to the commencement of well construction in South Carolina.

Q: Is there a fee for submitting Form 3724?
A: Yes, there is a fee associated with submitting Form 3724. The fee varies depending on the intended use and the estimated withdrawal rate of the well.

ADVERTISEMENT

Form Details:

  • Released on January 1, 2014;
  • The latest edition provided by the South Carolina Department of Health and Environmental Control;
  • Easy to use and ready to print;
  • Quick to customize;
  • Compatible with most PDF-viewing applications;
  • Fill out the form in our online filing application.

Download a fillable version of DHEC Form 3724 by clicking the link below or browse more documents and templates provided by the South Carolina Department of Health and Environmental Control.

Download DHEC Form 3724 Groundwater Withdrawal Notice of Intent (Noi) New Well Construction - South Carolina

4.6 of 5 (75 votes)
  • DHEC Form 3724 Groundwater Withdrawal Notice of Intent (Noi) New Well Construction - South Carolina

    1

  • DHEC Form 3724 Groundwater Withdrawal Notice of Intent (Noi) New Well Construction - South Carolina, Page 2

    2

  • DHEC Form 3724 Groundwater Withdrawal Notice of Intent (Noi) New Well Construction - South Carolina, Page 1
  • DHEC Form 3724 Groundwater Withdrawal Notice of Intent (Noi) New Well Construction - South Carolina, Page 2
Prev 1 2 Next
ADVERTISEMENT

Related Documents