Form 5600-PM-BMP0311-16 Module 16: Bituminous Coal Blast Plan - Pennsylvania

Form 5600-PM-BMP0311-16 Module 16: Bituminous Coal Blast Plan - Pennsylvania

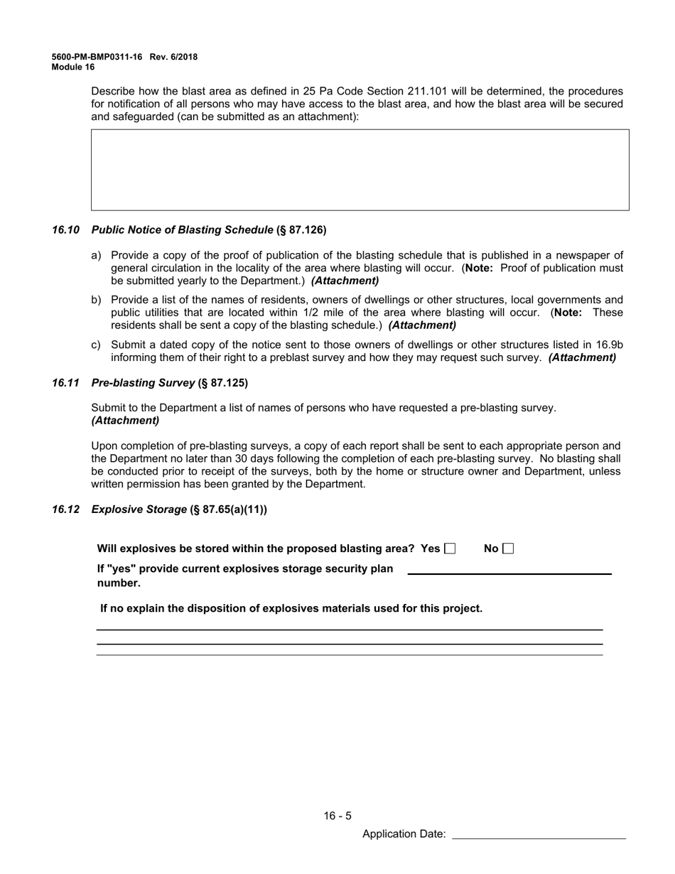
What Is Form 5600-PM-BMP0311-16?

This is a legal form that was released by the Pennsylvania Department of Environmental Protection - a government authority operating within Pennsylvania. As of today, no separate filing guidelines for the form are provided by the issuing department.

FAQ

Q: What is Form 5600-PM-BMP0311-16?
A: Form 5600-PM-BMP0311-16 is a document related to blast plans for bituminous coal in Pennsylvania.

Q: What is a blast plan?
A: A blast plan is a document outlining the procedures and precautions for conducting blasting operations.

Q: What is bituminous coal?
A: Bituminous coal is a type of coal that is widely used for electricity generation and as a fuel source.

Q: What is the purpose of the Form 5600-PM-BMP0311-16?
A: The purpose of Form 5600-PM-BMP0311-16 is to provide guidelines and requirements for conducting blast operations in relation to bituminous coal.

Q: Is this document specific to Pennsylvania?
A: Yes, this document is specific to Pennsylvania.

Q: Who is responsible for preparing the blast plan?
A: The entity conducting the blasting operations is responsible for preparing the blast plan.

Q: Are there any environmental regulations associated with blasting?
A: Yes, there are environmental regulations associated with blasting operations.

Q: Are there any safety precautions outlined in the Form 5600-PM-BMP0311-16?
A: Yes, the Form 5600-PM-BMP0311-16 includes safety precautions that should be followed during blasting operations.

Q: Can the Form 5600-PM-BMP0311-16 be used for other types of coal?
A: No, the Form 5600-PM-BMP0311-16 is specifically designed for bituminous coal.

ADVERTISEMENT

Form Details:

  • Released on June 1, 2018;
  • The latest edition provided by the Pennsylvania Department of Environmental Protection;
  • Easy to use and ready to print;
  • Quick to customize;
  • Compatible with most PDF-viewing applications;
  • Fill out the form in our online filing application.

Download a printable version of Form 5600-PM-BMP0311-16 by clicking the link below or browse more documents and templates provided by the Pennsylvania Department of Environmental Protection.

Download Form 5600-PM-BMP0311-16 Module 16: Bituminous Coal Blast Plan - Pennsylvania

4.4 of 5 (52 votes)
  • Form 5600-PM-BMP0311-16 Module 16: Bituminous Coal Blast Plan - Pennsylvania

    1

  • Form 5600-PM-BMP0311-16 Module 16: Bituminous Coal Blast Plan - Pennsylvania, Page 2

    2

  • Form 5600-PM-BMP0311-16 Module 16: Bituminous Coal Blast Plan - Pennsylvania, Page 3

    3

  • Form 5600-PM-BMP0311-16 Module 16: Bituminous Coal Blast Plan - Pennsylvania, Page 4

    4

  • Form 5600-PM-BMP0311-16 Module 16: Bituminous Coal Blast Plan - Pennsylvania, Page 5

    5

  • Form 5600-PM-BMP0311-16 Module 16: Bituminous Coal Blast Plan - Pennsylvania, Page 6

    6

  • Form 5600-PM-BMP0311-16 Module 16: Bituminous Coal Blast Plan - Pennsylvania, Page 1
  • Form 5600-PM-BMP0311-16 Module 16: Bituminous Coal Blast Plan - Pennsylvania, Page 2
  • Form 5600-PM-BMP0311-16 Module 16: Bituminous Coal Blast Plan - Pennsylvania, Page 3
  • Form 5600-PM-BMP0311-16 Module 16: Bituminous Coal Blast Plan - Pennsylvania, Page 4
  • Form 5600-PM-BMP0311-16 Module 16: Bituminous Coal Blast Plan - Pennsylvania, Page 5
  • Form 5600-PM-BMP0311-16 Module 16: Bituminous Coal Blast Plan - Pennsylvania, Page 6
Prev 1 2 3 4 5 6 Next
ADVERTISEMENT

Related Documents