DHEC Form 3182 Underground Storage Tank (Ust) Assessment Report - South Carolina

DHEC Form 3182 Underground Storage Tank (Ust) Assessment Report - South Carolina

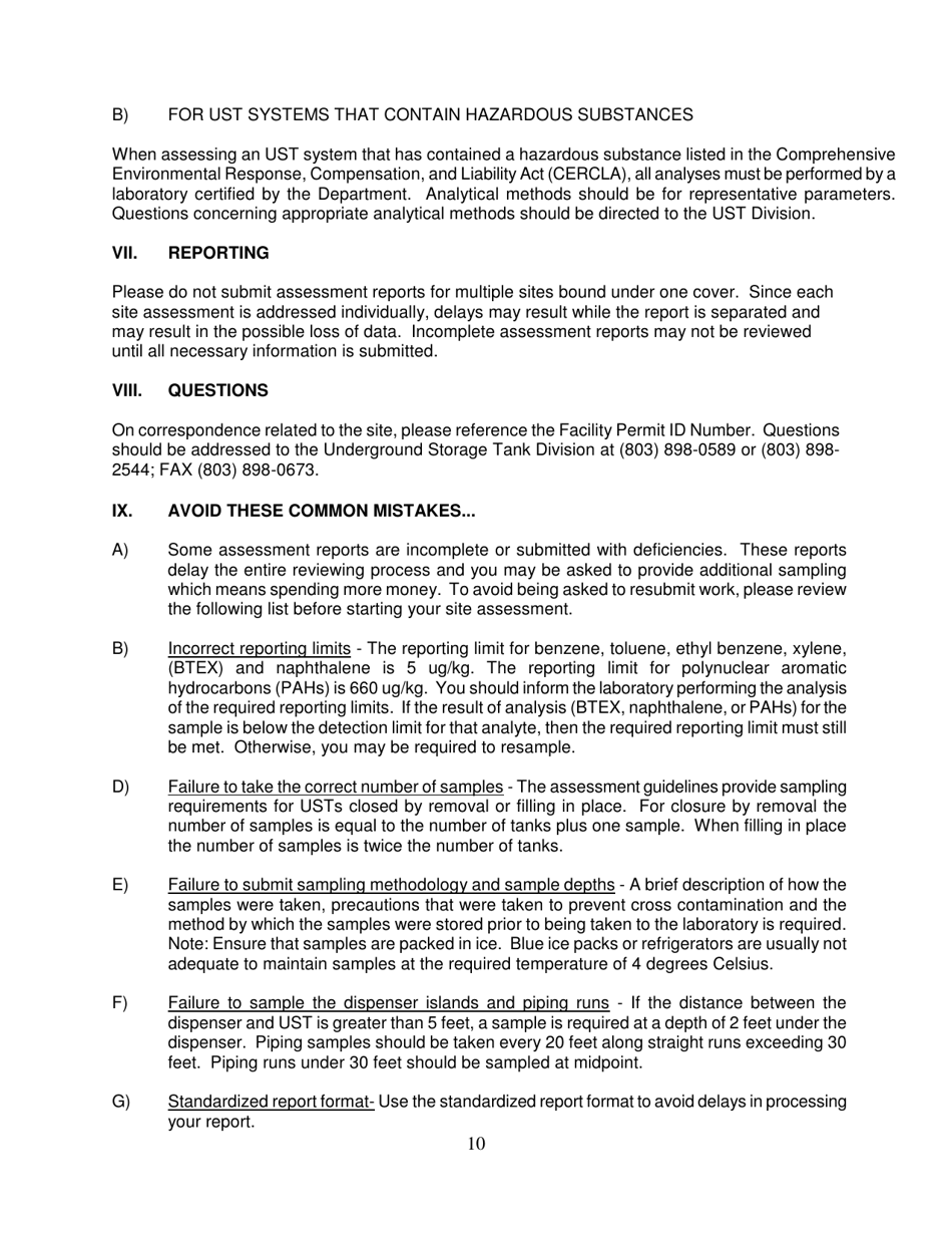
What Is DHEC Form 3182?

This is a legal form that was released by the South Carolina Department of Health and Environmental Control - a government authority operating within South Carolina. As of today, no separate filing guidelines for the form are provided by the issuing department.

FAQ

Q: What is DHEC Form 3182?
A: DHEC Form 3182 is the Underground Storage Tank (UST) Assessment Report in South Carolina.

Q: What is an Underground Storage Tank (UST)?
A: An underground storage tank (UST) is a tank that is buried below the ground and used to store materials, such as petroleum, gasoline, or chemicals.

Q: Why is the UST Assessment Report important?
A: The UST Assessment Report is important as it helps to ensure that underground storage tanks are being properly assessed for any potential leaks or environmental hazards.

Q: Who is required to submit the UST Assessment Report?
A: Owners and operators of underground storage tanks in South Carolina are required to submit the UST Assessment Report.

Q: How often should the UST Assessment Report be submitted?
A: The UST Assessment Report should be submitted annually, as per the requirements of the South Carolina Department of Health and Environmental Control (DHEC).

ADVERTISEMENT

Form Details:

  • Released on March 1, 2018;
  • The latest edition provided by the South Carolina Department of Health and Environmental Control;
  • Easy to use and ready to print;
  • Quick to customize;
  • Compatible with most PDF-viewing applications;
  • Fill out the form in our online filing application.

Download a printable version of DHEC Form 3182 by clicking the link below or browse more documents and templates provided by the South Carolina Department of Health and Environmental Control.

Download DHEC Form 3182 Underground Storage Tank (Ust) Assessment Report - South Carolina

4.3 of 5 (43 votes)
  • DHEC Form 3182 Underground Storage Tank (Ust) Assessment Report - South Carolina

    1

  • DHEC Form 3182 Underground Storage Tank (Ust) Assessment Report - South Carolina, Page 2

    2

  • DHEC Form 3182 Underground Storage Tank (Ust) Assessment Report - South Carolina, Page 3

    3

  • DHEC Form 3182 Underground Storage Tank (Ust) Assessment Report - South Carolina, Page 4

    4

  • DHEC Form 3182 Underground Storage Tank (Ust) Assessment Report - South Carolina, Page 5

    5

  • DHEC Form 3182 Underground Storage Tank (Ust) Assessment Report - South Carolina, Page 6

    6

  • DHEC Form 3182 Underground Storage Tank (Ust) Assessment Report - South Carolina, Page 7

    7

  • DHEC Form 3182 Underground Storage Tank (Ust) Assessment Report - South Carolina, Page 8

    8

  • DHEC Form 3182 Underground Storage Tank (Ust) Assessment Report - South Carolina, Page 9

    9

  • DHEC Form 3182 Underground Storage Tank (Ust) Assessment Report - South Carolina, Page 10

    10

  • DHEC Form 3182 Underground Storage Tank (Ust) Assessment Report - South Carolina, Page 11

    11

  • DHEC Form 3182 Underground Storage Tank (Ust) Assessment Report - South Carolina, Page 12

    12

  • DHEC Form 3182 Underground Storage Tank (Ust) Assessment Report - South Carolina, Page 13

    13

  • DHEC Form 3182 Underground Storage Tank (Ust) Assessment Report - South Carolina, Page 14

    14

  • DHEC Form 3182 Underground Storage Tank (Ust) Assessment Report - South Carolina, Page 15

    15

  • DHEC Form 3182 Underground Storage Tank (Ust) Assessment Report - South Carolina, Page 16

    16

  • DHEC Form 3182 Underground Storage Tank (Ust) Assessment Report - South Carolina, Page 17

    17

  • DHEC Form 3182 Underground Storage Tank (Ust) Assessment Report - South Carolina, Page 18

    18

  • DHEC Form 3182 Underground Storage Tank (Ust) Assessment Report - South Carolina, Page 19

    19

  • DHEC Form 3182 Underground Storage Tank (Ust) Assessment Report - South Carolina, Page 20

    20

  • DHEC Form 3182 Underground Storage Tank (Ust) Assessment Report - South Carolina, Page 21

    21

  • DHEC Form 3182 Underground Storage Tank (Ust) Assessment Report - South Carolina, Page 22

    22

  • DHEC Form 3182 Underground Storage Tank (Ust) Assessment Report - South Carolina, Page 23

    23

  • DHEC Form 3182 Underground Storage Tank (Ust) Assessment Report - South Carolina, Page 24

    24

  • DHEC Form 3182 Underground Storage Tank (Ust) Assessment Report - South Carolina, Page 25

    25

  • DHEC Form 3182 Underground Storage Tank (Ust) Assessment Report - South Carolina, Page 1
  • DHEC Form 3182 Underground Storage Tank (Ust) Assessment Report - South Carolina, Page 2
  • DHEC Form 3182 Underground Storage Tank (Ust) Assessment Report - South Carolina, Page 3
  • DHEC Form 3182 Underground Storage Tank (Ust) Assessment Report - South Carolina, Page 4
  • DHEC Form 3182 Underground Storage Tank (Ust) Assessment Report - South Carolina, Page 5
  • DHEC Form 3182 Underground Storage Tank (Ust) Assessment Report - South Carolina, Page 6
  • DHEC Form 3182 Underground Storage Tank (Ust) Assessment Report - South Carolina, Page 7
  • DHEC Form 3182 Underground Storage Tank (Ust) Assessment Report - South Carolina, Page 8
  • DHEC Form 3182 Underground Storage Tank (Ust) Assessment Report - South Carolina, Page 9
  • DHEC Form 3182 Underground Storage Tank (Ust) Assessment Report - South Carolina, Page 10
  • DHEC Form 3182 Underground Storage Tank (Ust) Assessment Report - South Carolina, Page 11
  • DHEC Form 3182 Underground Storage Tank (Ust) Assessment Report - South Carolina, Page 12
  • DHEC Form 3182 Underground Storage Tank (Ust) Assessment Report - South Carolina, Page 13
  • DHEC Form 3182 Underground Storage Tank (Ust) Assessment Report - South Carolina, Page 14
  • DHEC Form 3182 Underground Storage Tank (Ust) Assessment Report - South Carolina, Page 15
  • DHEC Form 3182 Underground Storage Tank (Ust) Assessment Report - South Carolina, Page 16
  • DHEC Form 3182 Underground Storage Tank (Ust) Assessment Report - South Carolina, Page 17
  • DHEC Form 3182 Underground Storage Tank (Ust) Assessment Report - South Carolina, Page 18
  • DHEC Form 3182 Underground Storage Tank (Ust) Assessment Report - South Carolina, Page 19
  • DHEC Form 3182 Underground Storage Tank (Ust) Assessment Report - South Carolina, Page 20
  • DHEC Form 3182 Underground Storage Tank (Ust) Assessment Report - South Carolina, Page 21
  • DHEC Form 3182 Underground Storage Tank (Ust) Assessment Report - South Carolina, Page 22
  • DHEC Form 3182 Underground Storage Tank (Ust) Assessment Report - South Carolina, Page 23
  • DHEC Form 3182 Underground Storage Tank (Ust) Assessment Report - South Carolina, Page 24
  • DHEC Form 3182 Underground Storage Tank (Ust) Assessment Report - South Carolina, Page 25
Prev 1 2 3 4 5 ... 25 Next
ADVERTISEMENT