Form SS-4475 Certificate of Cancellation of Registration of Foreign Limited Partnership - Tennessee

Form SS-4475 Certificate of Cancellation of Registration of Foreign Limited Partnership - Tennessee

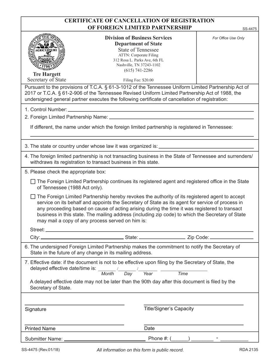
What Is Form SS-4475?

This is a legal form that was released by the Tennessee Secretary of State - a government authority operating within Tennessee. As of today, no separate filing guidelines for the form are provided by the issuing department.

FAQ

Q: What is Form SS-4475?
A: Form SS-4475 is the Certificate of Cancellation of Registration of Foreign Limited Partnership specific to Tennessee.

Q: What is a foreign limited partnership?
A: A foreign limited partnership is a type of business entity that is formed outside of Tennessee but wants to do business in the state.

Q: When is Form SS-4475 used?
A: Form SS-4475 is used when a foreign limited partnership wants to cancel its registration to do business in Tennessee.

Q: Are there any fees associated with filing Form SS-4475?
A: Yes, there is a filing fee that must be paid when submitting Form SS-4475.

Q: What information is required on Form SS-4475?
A: Form SS-4475 requires information such as the name of the foreign limited partnership, the date of registration, and the reason for cancellation.

Q: Is there a deadline for filing Form SS-4475?
A: There is no specific deadline mentioned for filing Form SS-4475, but it should be submitted as soon as the decision to cancel the registration is made.

ADVERTISEMENT

Form Details:

  • Released on January 1, 2018;
  • The latest edition provided by the Tennessee Secretary of State;
  • Easy to use and ready to print;
  • Quick to customize;
  • Compatible with most PDF-viewing applications;
  • Fill out the form in our online filing application.

Download a fillable version of Form SS-4475 by clicking the link below or browse more documents and templates provided by the Tennessee Secretary of State.

Download Form SS-4475 Certificate of Cancellation of Registration of Foreign Limited Partnership - Tennessee

4.5 of 5 (82 votes)
  • Form SS-4475 Certificate of Cancellation of Registration of Foreign Limited Partnership - Tennessee

    1

  • Form SS-4475 Certificate of Cancellation of Registration of Foreign Limited Partnership - Tennessee, Page 2

    2

  • Form SS-4475 Certificate of Cancellation of Registration of Foreign Limited Partnership - Tennessee, Page 3

    3

  • Form SS-4475 Certificate of Cancellation of Registration of Foreign Limited Partnership - Tennessee, Page 4

    4

  • Form SS-4475 Certificate of Cancellation of Registration of Foreign Limited Partnership - Tennessee, Page 1
  • Form SS-4475 Certificate of Cancellation of Registration of Foreign Limited Partnership - Tennessee, Page 2
  • Form SS-4475 Certificate of Cancellation of Registration of Foreign Limited Partnership - Tennessee, Page 3
  • Form SS-4475 Certificate of Cancellation of Registration of Foreign Limited Partnership - Tennessee, Page 4
Prev 1 2 3 4 Next
ADVERTISEMENT

Related Documents