Perpetual Care Cemetery Application Required Exhibits Checklist - Texas

Notification Icon This version of the form is not currently in use and is provided for reference only. Download this version of the document for the current year.

Perpetual Care Cemetery Application Required Exhibits Checklist - Texas

Perpetual Care Cemetery Application Required Exhibits Checklist is a legal document that was released by the Texas Department of Banking - a government authority operating within Texas.

FAQ

Q: What is the Perpetual Care Cemetery Application?
A: The Perpetual Care Cemetery Application is a document required to establish a cemetery in Texas.

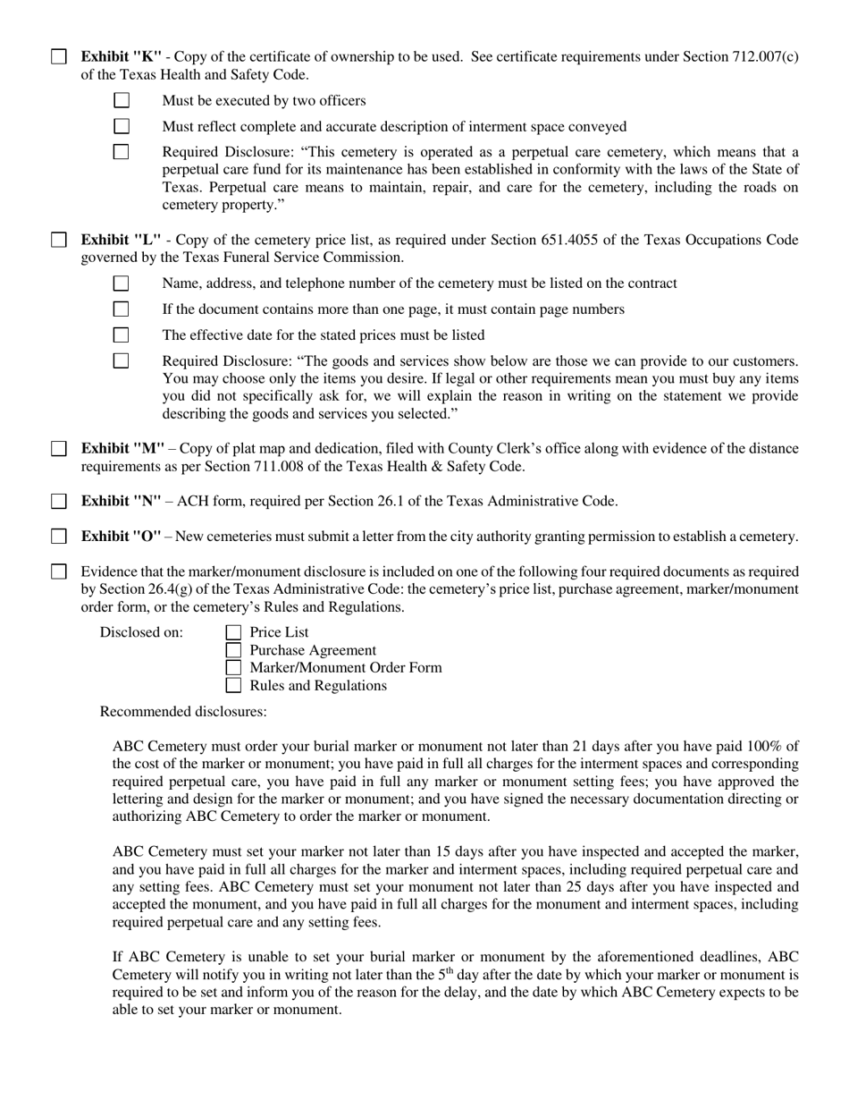
Q: What are the required exhibits for the Perpetual Care Cemetery Application?
A: The required exhibits for the Perpetual Care Cemetery Application vary, but generally include a cemetery plat map, a financial statement, a deed or lease for the cemetery land, and evidence of water availability.

Q: Are there any additional exhibits that may be required for the application?
A: Yes, depending on the specific circumstances, additional exhibits such as a care fund agreement, a certificate of authority, and a certificate of compliance may be required.

Q: Is there a fee for submitting the Perpetual Care Cemetery Application?
A: Yes, there is a fee for submitting the Perpetual Care Cemetery Application. The fee amount may vary.

Q: Are there any specific requirements for the cemetery plat map?
A: Yes, the cemetery plat map must be drawn to scale, show all cemetery sections and lots, and include a key or legend.

Q: What should be included in the financial statement for the application?
A: The financial statement should provide details on the cemetery's assets, liabilities, income, and expenses.

Q: What happens after submitting the Perpetual Care Cemetery Application?
A: After submitting the Perpetual Care Cemetery Application, it will be reviewed by the Texas Department of Banking. If approved, you will receive a certificate of authority to operate the cemetery.

ADVERTISEMENT

Form Details:

  • The latest edition currently provided by the Texas Department of Banking;
  • Ready to use and print;
  • Easy to customize;
  • Compatible with most PDF-viewing applications;
  • Fill out the form in our online filing application.

Download a printable version of the form by clicking the link below or browse more documents and templates provided by the Texas Department of Banking.

Download Perpetual Care Cemetery Application Required Exhibits Checklist - Texas

4.8 of 5 (22 votes)
  • Perpetual Care Cemetery Application Required Exhibits Checklist - Texas

    1

  • Perpetual Care Cemetery Application Required Exhibits Checklist - Texas, Page 2

    2

  • Perpetual Care Cemetery Application Required Exhibits Checklist - Texas, Page 1
  • Perpetual Care Cemetery Application Required Exhibits Checklist - Texas, Page 2
Prev 1 2 Next
ADVERTISEMENT

Related Documents