Form DL-67 What to Bring With You When Applying as a Teen Driver for Your Learner License - Texas

Form DL-67 What to Bring With You When Applying as a Teen Driver for Your Learner License - Texas

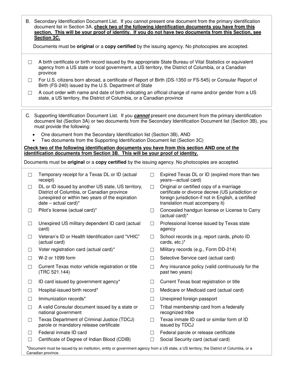
What Is Form DL-67?

This is a legal form that was released by the Texas Department of Public Safety - a government authority operating within Texas. As of today, no separate filing guidelines for the form are provided by the issuing department.

FAQ

Q: What is Form DL-67?
A: Form DL-67 is a document used for applying as a teen driver for a learner license in Texas.

Q: What do I need to bring with me when applying as a teen driver?
A: When applying as a teen driver, you need to bring your identification documents, proof of citizenship or legal presence, proof of Texas residency, social security card or exemption, and proof of school enrollment if you are under 18.

Q: What are the identification documents required?
A: The identification documents required include a valid US passport, birth certificate, Certificate of Citizenship or Naturalization, or Permanent Resident Card.

Q: What can I use as proof of Texas residency?
A: You can use a utility bill, bank statement, or any other document that shows your name and Texas address as proof of Texas residency.

Q: Do I need my social security card?
A: Yes, you need to bring your social security card or an exemption.

Q: Do I need to be enrolled in school?
A: If you are under 18, you need to provide proof of current school enrollment.

Q: Is there a fee for applying as a teen driver?
A: Yes, there is a fee for applying as a teen driver. It can be paid by cash, check, or money order.

ADVERTISEMENT

Form Details:

  • Released on November 1, 2018;
  • The latest edition provided by the Texas Department of Public Safety;
  • Easy to use and ready to print;
  • Quick to customize;
  • Compatible with most PDF-viewing applications;
  • Fill out the form in our online filing application.

Download a fillable version of Form DL-67 by clicking the link below or browse more documents and templates provided by the Texas Department of Public Safety.

Download Form DL-67 What to Bring With You When Applying as a Teen Driver for Your Learner License - Texas

4.4 of 5 (25 votes)
  • Form DL-67 What to Bring With You When Applying as a Teen Driver for Your Learner License - Texas

    1

  • Form DL-67 What to Bring With You When Applying as a Teen Driver for Your Learner License - Texas, Page 2

    2

  • Form DL-67 What to Bring With You When Applying as a Teen Driver for Your Learner License - Texas, Page 3

    3

  • Form DL-67 What to Bring With You When Applying as a Teen Driver for Your Learner License - Texas, Page 4

    4

  • Form DL-67 What to Bring With You When Applying as a Teen Driver for Your Learner License - Texas, Page 5

    5

  • Form DL-67 What to Bring With You When Applying as a Teen Driver for Your Learner License - Texas, Page 1
  • Form DL-67 What to Bring With You When Applying as a Teen Driver for Your Learner License - Texas, Page 2
  • Form DL-67 What to Bring With You When Applying as a Teen Driver for Your Learner License - Texas, Page 3
  • Form DL-67 What to Bring With You When Applying as a Teen Driver for Your Learner License - Texas, Page 4
  • Form DL-67 What to Bring With You When Applying as a Teen Driver for Your Learner License - Texas, Page 5
Prev 1 2 3 4 5 Next
ADVERTISEMENT