Form DRC-02A (AUD-RSL) Authorized User Training and Experience and Preceptor Attestation for Uses Defined Under 10 Cfr 35.1000 for Radioactive Seed Localization - Utah

Form DRC-02A (AUD-RSL) Authorized User Training and Experience and Preceptor Attestation for Uses Defined Under 10 Cfr 35.1000 for Radioactive Seed Localization - Utah

What Is Form DRC-02A (AUD-RSL)?

This is a legal form that was released by the Utah Department of Environmental Quality - a government authority operating within Utah. As of today, no separate filing guidelines for the form are provided by the issuing department.

FAQ

Q: What is Form DRC-02A (AUD-RSL)?
A: Form DRC-02A (AUD-RSL) is a form used for Authorized User Training and Experience and Preceptor Attestation for Uses Defined Under 10 Cfr 35.1000 for Radioactive Seed Localization in Utah.

Q: What is the purpose of Form DRC-02A?
A: The purpose of Form DRC-02A is to document the training, experience, and preceptor attestation for authorized users who perform radioactive seed localization procedures as defined under 10 Cfr 35.1000 in Utah.

Q: Who is required to fill out Form DRC-02A?
A: Authorized users who perform radioactive seed localization procedures in Utah are required to fill out Form DRC-02A.

Q: What information is required in Form DRC-02A?
A: Form DRC-02A requires information about the authorized user's training and experience, as well as the preceptor's attestation of the authorized user's competence to perform radioactive seed localization procedures.

ADVERTISEMENT

Form Details:

  • Released on January 1, 2016;
  • The latest edition provided by the Utah Department of Environmental Quality;
  • Easy to use and ready to print;
  • Quick to customize;
  • Compatible with most PDF-viewing applications;
  • Fill out the form in our online filing application.

Download a printable version of Form DRC-02A (AUD-RSL) by clicking the link below or browse more documents and templates provided by the Utah Department of Environmental Quality.

Download Form DRC-02A (AUD-RSL) Authorized User Training and Experience and Preceptor Attestation for Uses Defined Under 10 Cfr 35.1000 for Radioactive Seed Localization - Utah

4.6 of 5 (16 votes)
  • Form DRC-02A (AUD-RSL) Authorized User Training and Experience and Preceptor Attestation for Uses Defined Under 10 Cfr 35.1000 for Radioactive Seed Localization - Utah

    1

  • Form DRC-02A (AUD-RSL) Authorized User Training and Experience and Preceptor Attestation for Uses Defined Under 10 Cfr 35.1000 for Radioactive Seed Localization - Utah, Page 2

    2

  • Form DRC-02A (AUD-RSL) Authorized User Training and Experience and Preceptor Attestation for Uses Defined Under 10 Cfr 35.1000 for Radioactive Seed Localization - Utah, Page 3

    3

  • Form DRC-02A (AUD-RSL) Authorized User Training and Experience and Preceptor Attestation for Uses Defined Under 10 Cfr 35.1000 for Radioactive Seed Localization - Utah, Page 4

    4

  • Form DRC-02A (AUD-RSL) Authorized User Training and Experience and Preceptor Attestation for Uses Defined Under 10 Cfr 35.1000 for Radioactive Seed Localization - Utah, Page 5

    5

  • Form DRC-02A (AUD-RSL) Authorized User Training and Experience and Preceptor Attestation for Uses Defined Under 10 Cfr 35.1000 for Radioactive Seed Localization - Utah, Page 6

    6

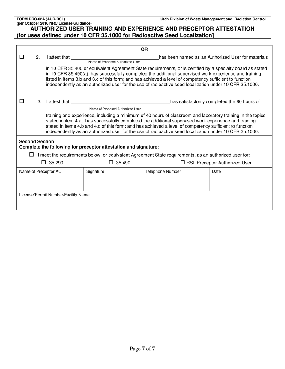
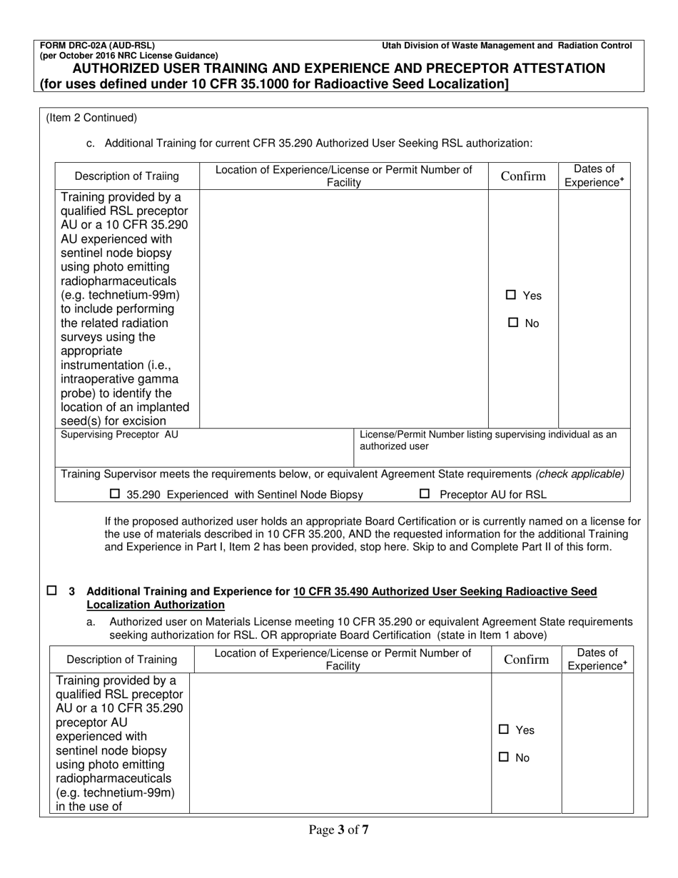
  • Form DRC-02A (AUD-RSL) Authorized User Training and Experience and Preceptor Attestation for Uses Defined Under 10 Cfr 35.1000 for Radioactive Seed Localization - Utah, Page 7

    7

  • Form DRC-02A (AUD-RSL) Authorized User Training and Experience and Preceptor Attestation for Uses Defined Under 10 Cfr 35.1000 for Radioactive Seed Localization - Utah, Page 1
  • Form DRC-02A (AUD-RSL) Authorized User Training and Experience and Preceptor Attestation for Uses Defined Under 10 Cfr 35.1000 for Radioactive Seed Localization - Utah, Page 2
  • Form DRC-02A (AUD-RSL) Authorized User Training and Experience and Preceptor Attestation for Uses Defined Under 10 Cfr 35.1000 for Radioactive Seed Localization - Utah, Page 3
  • Form DRC-02A (AUD-RSL) Authorized User Training and Experience and Preceptor Attestation for Uses Defined Under 10 Cfr 35.1000 for Radioactive Seed Localization - Utah, Page 4
  • Form DRC-02A (AUD-RSL) Authorized User Training and Experience and Preceptor Attestation for Uses Defined Under 10 Cfr 35.1000 for Radioactive Seed Localization - Utah, Page 5
  • Form DRC-02A (AUD-RSL) Authorized User Training and Experience and Preceptor Attestation for Uses Defined Under 10 Cfr 35.1000 for Radioactive Seed Localization - Utah, Page 6
  • Form DRC-02A (AUD-RSL) Authorized User Training and Experience and Preceptor Attestation for Uses Defined Under 10 Cfr 35.1000 for Radioactive Seed Localization - Utah, Page 7
Prev 1 2 3 4 5 ... 7 Next
ADVERTISEMENT