Extraordinary Financial Relief for Child Care Centers Application Form - Vermont

Extraordinary Financial Relief for Child Care Centers Application Form - Vermont

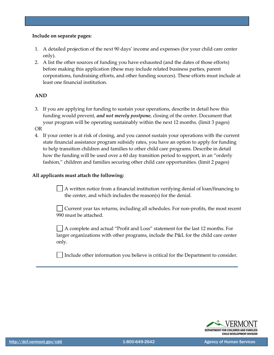
Extraordinary Financial Relief for Child Care Centers Application Form is a legal document that was released by the Vermont Department of Children and Families - a government authority operating within Vermont.

FAQ

Q: What is the Extraordinary Financial Relief for Child Care Centers Application Form?
A: It is a form used to apply for financial relief for child care centers in Vermont.

Q: Who can use this application form?
A: Child care centers in Vermont can use this application form.

Q: What is the purpose of the financial relief?
A: The financial relief is meant to assist child care centers during times of financial hardship.

Q: Are there any eligibility criteria to qualify for the financial relief?
A: Yes, there are specific eligibility criteria that child care centers must meet to qualify for the financial relief.

Q: What documentation do I need to provide with the application form?
A: You will need to provide various documents such as financial statements, tax returns, and other relevant information.

Q: Is there a deadline for submitting the application form?
A: Yes, there is a specific deadline for submitting the application form. It is important to submit it on time.

Q: How long does it take to receive a response to the application?
A: The processing time for the application can vary, but you can expect to receive a response within a certain timeframe.

Q: Is the financial relief a loan or a grant?
A: The financial relief is provided as a grant, which means it does not need to be repaid.

Q: Who should I contact for more information or assistance?
A: You can contact the appropriate government agency or organization for more information or assistance with the application process.

ADVERTISEMENT

Form Details:

  • The latest edition currently provided by the Vermont Department of Children and Families;
  • Ready to use and print;
  • Easy to customize;
  • Compatible with most PDF-viewing applications;
  • Fill out the form in our online filing application.

Download a printable version of the form by clicking the link below or browse more documents and templates provided by the Vermont Department of Children and Families.

Download Extraordinary Financial Relief for Child Care Centers Application Form - Vermont

4.5 of 5 (26 votes)
  • Extraordinary Financial Relief for Child Care Centers Application Form - Vermont

    1

  • Extraordinary Financial Relief for Child Care Centers Application Form - Vermont, Page 2

    2

  • Extraordinary Financial Relief for Child Care Centers Application Form - Vermont, Page 1
  • Extraordinary Financial Relief for Child Care Centers Application Form - Vermont, Page 2
Prev 1 2 Next
ADVERTISEMENT

Related Documents