Form ECY070-340 Underground Storage Tank Impressed Cathodic Protection Evaluation Checklist - Washington

Form ECY070-340 Underground Storage Tank Impressed Cathodic Protection Evaluation Checklist - Washington

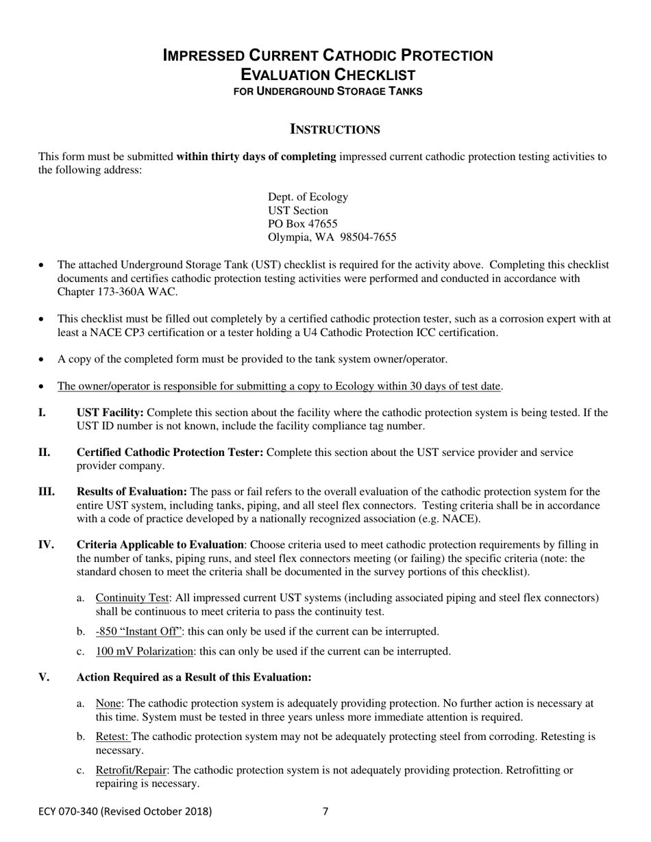
What Is Form ECY070-340?

This is a legal form that was released by the Washington State Department of Ecology - a government authority operating within Washington. As of today, no separate filing guidelines for the form are provided by the issuing department.

FAQ

Q: What is Form ECY070-340?
A: Form ECY070-340 is an evaluation checklist for impressed cathodic protection of underground storage tanks in Washington.

Q: What is impressed cathodic protection?
A: Impressed cathodic protection is a technique used to prevent corrosion of underground storage tanks by applying a direct electrical current.

Q: Why is impressed cathodic protection important for underground storage tanks?
A: Impressed cathodic protection helps prevent corrosion of underground storage tanks, which can lead to leaks and contamination of soil and groundwater.

Q: Who needs to use Form ECY070-340?
A: Owners or operators of underground storage tanks in Washington who have installed impressed cathodic protection systems need to use Form ECY070-340 for evaluation.

Q: What is the purpose of the evaluation checklist?
A: The evaluation checklist helps ensure that the impressed cathodic protection system meets the required standards and is effectively preventing corrosion of the underground storage tank.

Q: What information does Form ECY070-340 require?
A: Form ECY070-340 requires information about the underground storage tank, the impressed cathodic protection system, and its maintenance and testing history.

Q: What should I do if the impressed cathodic protection system does not meet the required standards?
A: If the impressed cathodic protection system does not meet the required standards, you should take corrective actions to ensure the protection of the underground storage tank.

Q: Is the use of impressed cathodic protection mandatory for underground storage tanks in Washington?
A: Yes, the use of impressed cathodic protection is mandatory for most underground storage tanks in Washington, as specified in state regulations.

ADVERTISEMENT

Form Details:

  • Released on October 1, 2018;
  • The latest edition provided by the Washington State Department of Ecology;
  • Easy to use and ready to print;
  • Quick to customize;
  • Compatible with most PDF-viewing applications;
  • Fill out the form in our online filing application.

Download a printable version of Form ECY070-340 by clicking the link below or browse more documents and templates provided by the Washington State Department of Ecology.

Download Form ECY070-340 Underground Storage Tank Impressed Cathodic Protection Evaluation Checklist - Washington

4.8 of 5 (63 votes)
  • Form ECY070-340 Underground Storage Tank Impressed Cathodic Protection Evaluation Checklist - Washington

    1

  • Form ECY070-340 Underground Storage Tank Impressed Cathodic Protection Evaluation Checklist - Washington, Page 2

    2

  • Form ECY070-340 Underground Storage Tank Impressed Cathodic Protection Evaluation Checklist - Washington, Page 3

    3

  • Form ECY070-340 Underground Storage Tank Impressed Cathodic Protection Evaluation Checklist - Washington, Page 4

    4

  • Form ECY070-340 Underground Storage Tank Impressed Cathodic Protection Evaluation Checklist - Washington, Page 5

    5

  • Form ECY070-340 Underground Storage Tank Impressed Cathodic Protection Evaluation Checklist - Washington, Page 6

    6

  • Form ECY070-340 Underground Storage Tank Impressed Cathodic Protection Evaluation Checklist - Washington, Page 7

    7

  • Form ECY070-340 Underground Storage Tank Impressed Cathodic Protection Evaluation Checklist - Washington, Page 8

    8

  • Form ECY070-340 Underground Storage Tank Impressed Cathodic Protection Evaluation Checklist - Washington, Page 9

    9

  • Form ECY070-340 Underground Storage Tank Impressed Cathodic Protection Evaluation Checklist - Washington, Page 1
  • Form ECY070-340 Underground Storage Tank Impressed Cathodic Protection Evaluation Checklist - Washington, Page 2
  • Form ECY070-340 Underground Storage Tank Impressed Cathodic Protection Evaluation Checklist - Washington, Page 3
  • Form ECY070-340 Underground Storage Tank Impressed Cathodic Protection Evaluation Checklist - Washington, Page 4
  • Form ECY070-340 Underground Storage Tank Impressed Cathodic Protection Evaluation Checklist - Washington, Page 5
  • Form ECY070-340 Underground Storage Tank Impressed Cathodic Protection Evaluation Checklist - Washington, Page 6
  • Form ECY070-340 Underground Storage Tank Impressed Cathodic Protection Evaluation Checklist - Washington, Page 7
  • Form ECY070-340 Underground Storage Tank Impressed Cathodic Protection Evaluation Checklist - Washington, Page 8
  • Form ECY070-340 Underground Storage Tank Impressed Cathodic Protection Evaluation Checklist - Washington, Page 9
Prev 1 2 3 4 5 ... 9 Next
ADVERTISEMENT