Form ECY020-87 Notice of Termination Form for Construction Stormwater General Permit - Washington

Notification Icon This version of the form is not currently in use and is provided for reference only. Download this version of Form ECY020-87 for the current year.

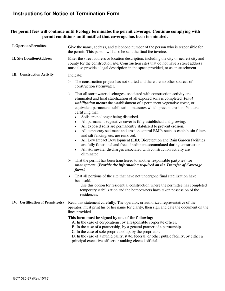
Form ECY020-87 Notice of Termination Form for Construction Stormwater General Permit - Washington

What Is Form ECY020-87?

This is a legal form that was released by the Washington State Department of Ecology - a government authority operating within Washington. As of today, no separate filing guidelines for the form are provided by the issuing department.

FAQ

Q: What is Form ECY020-87?
A: Form ECY020-87 is the Notice of Termination form for the Construction Stormwater General Permit in Washington.

Q: What is the purpose of Form ECY020-87?
A: The purpose of Form ECY020-87 is to notify the Washington Department of Ecology of the termination of construction activity covered under the Construction Stormwater General Permit.

Q: Who needs to fill out Form ECY020-87?
A: Contractors or property owners engaged in construction activities in Washington that are covered under the Construction Stormwater General Permit need to fill out Form ECY020-87 when construction activity is completed or terminated.

Q: Are there any fees associated with submitting Form ECY020-87?
A: No, there are no fees associated with submitting Form ECY020-87.

ADVERTISEMENT

Form Details:

  • Released on October 1, 2016;
  • The latest edition provided by the Washington State Department of Ecology;
  • Easy to use and ready to print;
  • Quick to customize;
  • Compatible with most PDF-viewing applications;
  • Fill out the form in our online filing application.

Download a printable version of Form ECY020-87 by clicking the link below or browse more documents and templates provided by the Washington State Department of Ecology.

Download Form ECY020-87 Notice of Termination Form for Construction Stormwater General Permit - Washington

4.4 of 5 (97 votes)
  • Form ECY020-87 Notice of Termination Form for Construction Stormwater General Permit - Washington

    1

  • Form ECY020-87 Notice of Termination Form for Construction Stormwater General Permit - Washington, Page 2

    2

  • Form ECY020-87 Notice of Termination Form for Construction Stormwater General Permit - Washington, Page 3

    3

  • Form ECY020-87 Notice of Termination Form for Construction Stormwater General Permit - Washington, Page 1
  • Form ECY020-87 Notice of Termination Form for Construction Stormwater General Permit - Washington, Page 2
  • Form ECY020-87 Notice of Termination Form for Construction Stormwater General Permit - Washington, Page 3
Prev 1 2 3 Next
ADVERTISEMENT

Related Documents