Life Care Planning Packet (Advance Directives for Health Care Planning) - Arizona

Life Care Planning Packet (Advance Directives for Health Care Planning) - Arizona

An Arizona Advance Directive is a crucial form that allows of-age individuals to have legal control over their medical treatment in the event when they are unable to speak for themselves. When a patient does not have their wishes about the kinds of medical treatment they do or do not want to receive specified, these decisions can be placed in the hands of family members, doctors, or even judges, who may know very little about what the patient prefers. The Arizona Life Care Planning Packet released by the Office of the Arizona Attorney General on March 1, 2018 , is available for download below.

The directive is defined by § 36-3261, Living Will . The instructions must be prepared in writing and may be used as part of or instead of a health care power of attorney.

The document provides an efficient and flexible format for planning out future health care and gives patients the option of electing a trusted individual or health professional to oversee their care. There is a difference between an Arizona Advance Directive for Health Care and an Arizona Living Will. The former are oral or written instructions about future medical care in case the individual becomes too ill to communicate. The latter is a specific type of directive that takes effect only when a patient is terminally ill.

ADVERTISEMENT

What Is an Arizona Advance Directive?

An Advance Directive is a legal document by which an individual appoints a proxy to make healthcare decisions for when they are no longer able to and to administer or withhold treatment and procedures based on their previously stated wishes. Advance Directives include two separate forms:

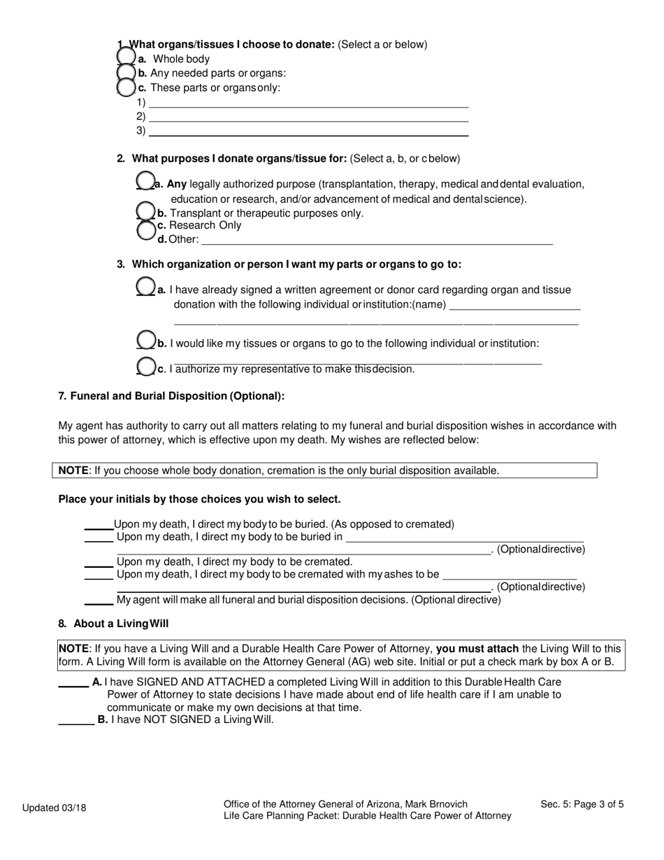
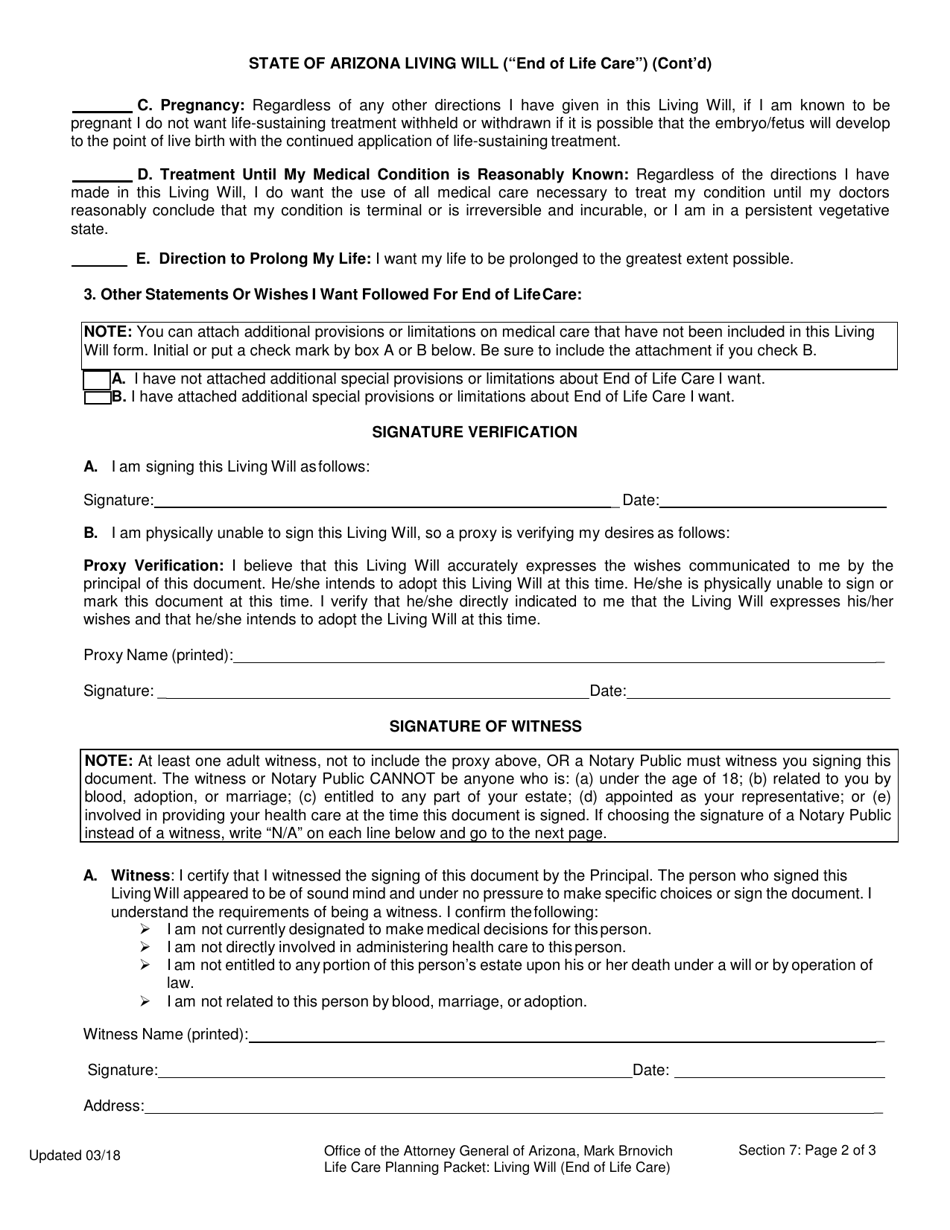
  • A Living Will (a written statement listing decisions about life-­sustaining procedures in the event of a terminal condition);
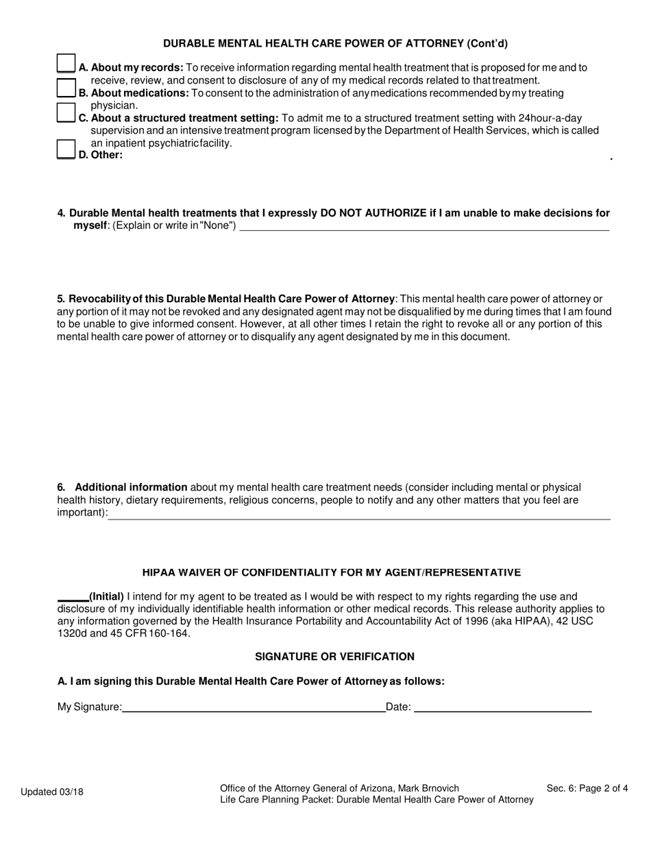
  • A Durable Power of Attorney for Health Care (a document appointing an attorney-in-fact to make medical decisions for the individual).

The attorney-in-fact should meet the following criteria:

  1. The health care proxy - or agent - must meet Arizona's legal requirements.
  2. The individual's doctor or a member of their medical care team may not be selected as a proxy.
  3. The elected individual should be trusted to be the patient's advocate in any disagreements about their care.

How to Write an Advance Directive in Arizona?

You'll need to follow these important steps when preparing your document:

STEP 1 - Choose your health care agent - or proxy. This agent should be a person you trust to make medical decisions for you.

STEP 2 - Consider the kinds of treatment you do or do not want to receive in the event of a serious illness or incapacitation. Consider whether you want to:

  • Take antibiotics to treat infections;
  • Receive cardiopulmonary resuscitation (CPR);
  • Be on an extracorporeal membrane oxygenation (ECMO) machine when you cannot breathe on your own;
  • Be on a dialysis machine in case of kidney failure;
  • Be tube-fed if you can't eat or drink on your own.

STEP 3 - Keep the original completed and signed Advance Directive form with your medical records and give copies out to your health care proxy, physicians, health care providers, and - if necessary - to family members and close friends.

Download Life Care Planning Packet (Advance Directives for Health Care Planning) - Arizona

4.7 of 5 (30 votes)
  • Life Care Planning Packet (Advance Directives for Health Care Planning) - Arizona

    1

  • Life Care Planning Packet (Advance Directives for Health Care Planning) - Arizona, Page 2

    2

  • Life Care Planning Packet (Advance Directives for Health Care Planning) - Arizona, Page 3

    3

  • Life Care Planning Packet (Advance Directives for Health Care Planning) - Arizona, Page 4

    4

  • Life Care Planning Packet (Advance Directives for Health Care Planning) - Arizona, Page 5

    5

  • Life Care Planning Packet (Advance Directives for Health Care Planning) - Arizona, Page 6

    6

  • Life Care Planning Packet (Advance Directives for Health Care Planning) - Arizona, Page 7

    7

  • Life Care Planning Packet (Advance Directives for Health Care Planning) - Arizona, Page 8

    8

  • Life Care Planning Packet (Advance Directives for Health Care Planning) - Arizona, Page 9

    9

  • Life Care Planning Packet (Advance Directives for Health Care Planning) - Arizona, Page 10

    10

  • Life Care Planning Packet (Advance Directives for Health Care Planning) - Arizona, Page 11

    11

  • Life Care Planning Packet (Advance Directives for Health Care Planning) - Arizona, Page 12

    12

  • Life Care Planning Packet (Advance Directives for Health Care Planning) - Arizona, Page 13

    13

  • Life Care Planning Packet (Advance Directives for Health Care Planning) - Arizona, Page 14

    14

  • Life Care Planning Packet (Advance Directives for Health Care Planning) - Arizona, Page 15

    15

  • Life Care Planning Packet (Advance Directives for Health Care Planning) - Arizona, Page 16

    16

  • Life Care Planning Packet (Advance Directives for Health Care Planning) - Arizona, Page 17

    17

  • Life Care Planning Packet (Advance Directives for Health Care Planning) - Arizona, Page 18

    18

  • Life Care Planning Packet (Advance Directives for Health Care Planning) - Arizona, Page 19

    19

  • Life Care Planning Packet (Advance Directives for Health Care Planning) - Arizona, Page 20

    20

  • Life Care Planning Packet (Advance Directives for Health Care Planning) - Arizona, Page 21

    21

  • Life Care Planning Packet (Advance Directives for Health Care Planning) - Arizona, Page 22

    22

  • Life Care Planning Packet (Advance Directives for Health Care Planning) - Arizona, Page 23

    23

  • Life Care Planning Packet (Advance Directives for Health Care Planning) - Arizona, Page 24

    24

  • Life Care Planning Packet (Advance Directives for Health Care Planning) - Arizona, Page 25

    25

  • Life Care Planning Packet (Advance Directives for Health Care Planning) - Arizona, Page 26

    26

  • Life Care Planning Packet (Advance Directives for Health Care Planning) - Arizona, Page 27

    27

  • Life Care Planning Packet (Advance Directives for Health Care Planning) - Arizona, Page 28

    28

  • Life Care Planning Packet (Advance Directives for Health Care Planning) - Arizona, Page 29

    29

  • Life Care Planning Packet (Advance Directives for Health Care Planning) - Arizona, Page 1
  • Life Care Planning Packet (Advance Directives for Health Care Planning) - Arizona, Page 2
  • Life Care Planning Packet (Advance Directives for Health Care Planning) - Arizona, Page 3
  • Life Care Planning Packet (Advance Directives for Health Care Planning) - Arizona, Page 4
  • Life Care Planning Packet (Advance Directives for Health Care Planning) - Arizona, Page 5
  • Life Care Planning Packet (Advance Directives for Health Care Planning) - Arizona, Page 6
  • Life Care Planning Packet (Advance Directives for Health Care Planning) - Arizona, Page 7
  • Life Care Planning Packet (Advance Directives for Health Care Planning) - Arizona, Page 8
  • Life Care Planning Packet (Advance Directives for Health Care Planning) - Arizona, Page 9
  • Life Care Planning Packet (Advance Directives for Health Care Planning) - Arizona, Page 10
  • Life Care Planning Packet (Advance Directives for Health Care Planning) - Arizona, Page 11
  • Life Care Planning Packet (Advance Directives for Health Care Planning) - Arizona, Page 12
  • Life Care Planning Packet (Advance Directives for Health Care Planning) - Arizona, Page 13
  • Life Care Planning Packet (Advance Directives for Health Care Planning) - Arizona, Page 14
  • Life Care Planning Packet (Advance Directives for Health Care Planning) - Arizona, Page 15
  • Life Care Planning Packet (Advance Directives for Health Care Planning) - Arizona, Page 16
  • Life Care Planning Packet (Advance Directives for Health Care Planning) - Arizona, Page 17
  • Life Care Planning Packet (Advance Directives for Health Care Planning) - Arizona, Page 18
  • Life Care Planning Packet (Advance Directives for Health Care Planning) - Arizona, Page 19
  • Life Care Planning Packet (Advance Directives for Health Care Planning) - Arizona, Page 20
  • Life Care Planning Packet (Advance Directives for Health Care Planning) - Arizona, Page 21
  • Life Care Planning Packet (Advance Directives for Health Care Planning) - Arizona, Page 22
  • Life Care Planning Packet (Advance Directives for Health Care Planning) - Arizona, Page 23
  • Life Care Planning Packet (Advance Directives for Health Care Planning) - Arizona, Page 24
  • Life Care Planning Packet (Advance Directives for Health Care Planning) - Arizona, Page 25
  • Life Care Planning Packet (Advance Directives for Health Care Planning) - Arizona, Page 26
  • Life Care Planning Packet (Advance Directives for Health Care Planning) - Arizona, Page 27
  • Life Care Planning Packet (Advance Directives for Health Care Planning) - Arizona, Page 28
  • Life Care Planning Packet (Advance Directives for Health Care Planning) - Arizona, Page 29
Prev 1 2 3 4 5 ... 29 Next
ADVERTISEMENT

Related Documents