SBA Form 2234 Part C Eligibility Information Required for 504 Submission (PCLP)

SBA Form 2234 Part C Eligibility Information Required for 504 Submission (PCLP)

What Is SBA Form 2234 Part C?

This is a legal form that was released by the U.S. Small Business Administration on November 1, 2018 and used country-wide. As of today, no separate filing guidelines for the form are provided by the issuing department.

FAQ

Q: What is SBA Form 2234?
A: SBA Form 2234 is a form used for 504 submission (PCLP).

Q: What is Part C on SBA Form 2234?
A: Part C on SBA Form 2234 is the section that requires eligibility information.

Q: What information is required in Part C of SBA Form 2234?
A: Part C of SBA Form 2234 requires eligibility information for the 504 submission.

Q: What is a 504 submission?
A: A 504 submission is a loan application for the SBA's 504 loan program.

Q: What is the PCLP?
A: PCLP stands for Preferred Lender Program which is a program that allows certain lenders to expedite the loan approval process.

ADVERTISEMENT

Form Details:

  • Released on November 1, 2018;
  • The latest available edition released by the U.S. Small Business Administration;
  • Easy to use and ready to print;
  • Yours to fill out and keep for your records;
  • Compatible with most PDF-viewing applications;
  • Fill out the form in our online filing application.

Download a fillable version of SBA Form 2234 Part C by clicking the link below or browse more documents and templates provided by the U.S. Small Business Administration.

Download SBA Form 2234 Part C Eligibility Information Required for 504 Submission (PCLP)

4.5 of 5 (25 votes)
  • SBA Form 2234 Part C Eligibility Information Required for 504 Submission (PCLP)

    1

  • SBA Form 2234 Part C Eligibility Information Required for 504 Submission (PCLP), Page 2

    2

  • SBA Form 2234 Part C Eligibility Information Required for 504 Submission (PCLP), Page 3

    3

  • SBA Form 2234 Part C Eligibility Information Required for 504 Submission (PCLP), Page 4

    4

  • SBA Form 2234 Part C Eligibility Information Required for 504 Submission (PCLP), Page 5

    5

  • SBA Form 2234 Part C Eligibility Information Required for 504 Submission (PCLP), Page 6

    6

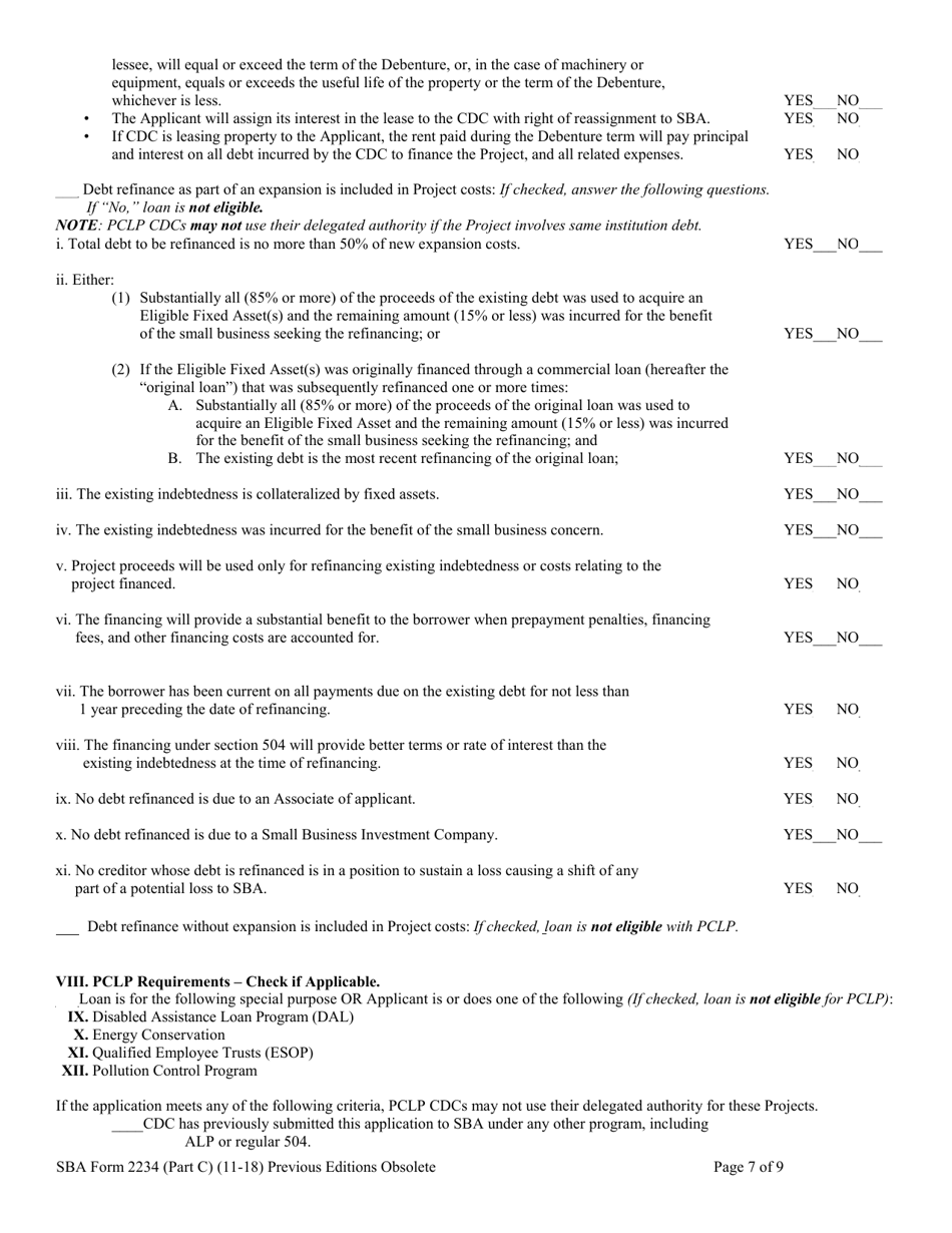
  • SBA Form 2234 Part C Eligibility Information Required for 504 Submission (PCLP), Page 7

    7

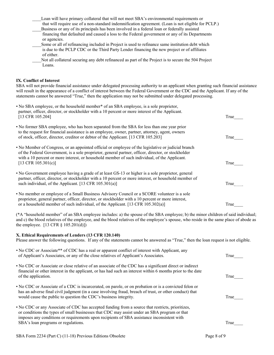
  • SBA Form 2234 Part C Eligibility Information Required for 504 Submission (PCLP), Page 8

    8

  • SBA Form 2234 Part C Eligibility Information Required for 504 Submission (PCLP), Page 9

    9

  • SBA Form 2234 Part C Eligibility Information Required for 504 Submission (PCLP), Page 1
  • SBA Form 2234 Part C Eligibility Information Required for 504 Submission (PCLP), Page 2
  • SBA Form 2234 Part C Eligibility Information Required for 504 Submission (PCLP), Page 3
  • SBA Form 2234 Part C Eligibility Information Required for 504 Submission (PCLP), Page 4
  • SBA Form 2234 Part C Eligibility Information Required for 504 Submission (PCLP), Page 5
  • SBA Form 2234 Part C Eligibility Information Required for 504 Submission (PCLP), Page 6
  • SBA Form 2234 Part C Eligibility Information Required for 504 Submission (PCLP), Page 7
  • SBA Form 2234 Part C Eligibility Information Required for 504 Submission (PCLP), Page 8
  • SBA Form 2234 Part C Eligibility Information Required for 504 Submission (PCLP), Page 9
Prev 1 2 3 4 5 ... 9 Next
ADVERTISEMENT

Related Documents