Form 1F-P-746 Divorce Decree With Minor and / or Dependent Child(Ren) - Hawaii

Notification Icon This version of the form is not currently in use and is provided for reference only. Download this version of Form 1F-P-746 for the current year.

Form 1F-P-746 Divorce Decree With Minor and / or Dependent Child(Ren) - Hawaii

What Is Form 1F-P-746?

This is a legal form that was released by the Hawaii Family Court - a government authority operating within Hawaii. As of today, no separate filing guidelines for the form are provided by the issuing department.

FAQ

Q: What is a Form 1F-P-746?
A: Form 1F-P-746 is a Divorce Decree with minor and/or dependent child(ren) specific to the state of Hawaii.

Q: What does the Form 1F-P-746 include?
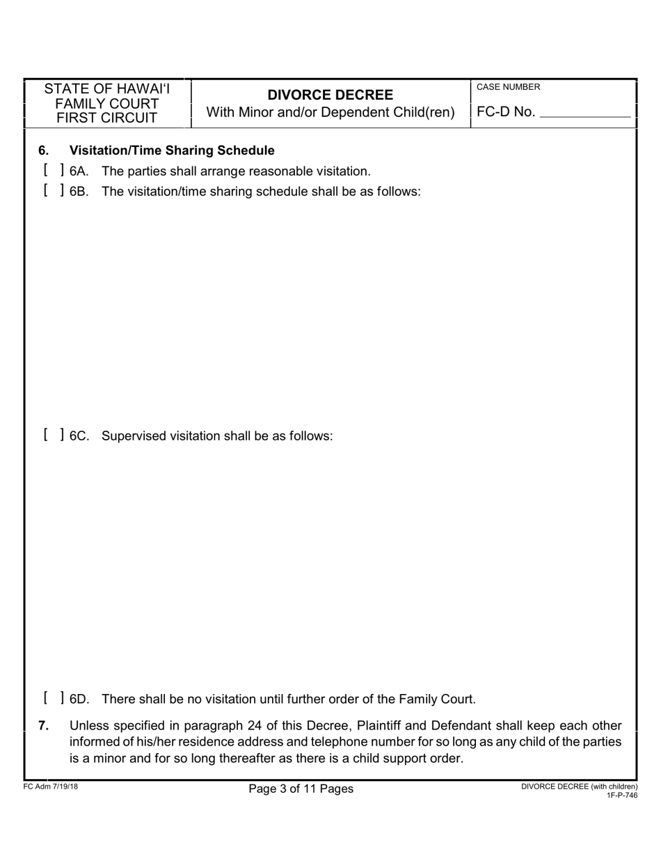
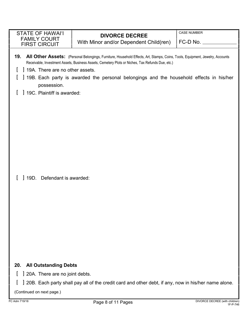
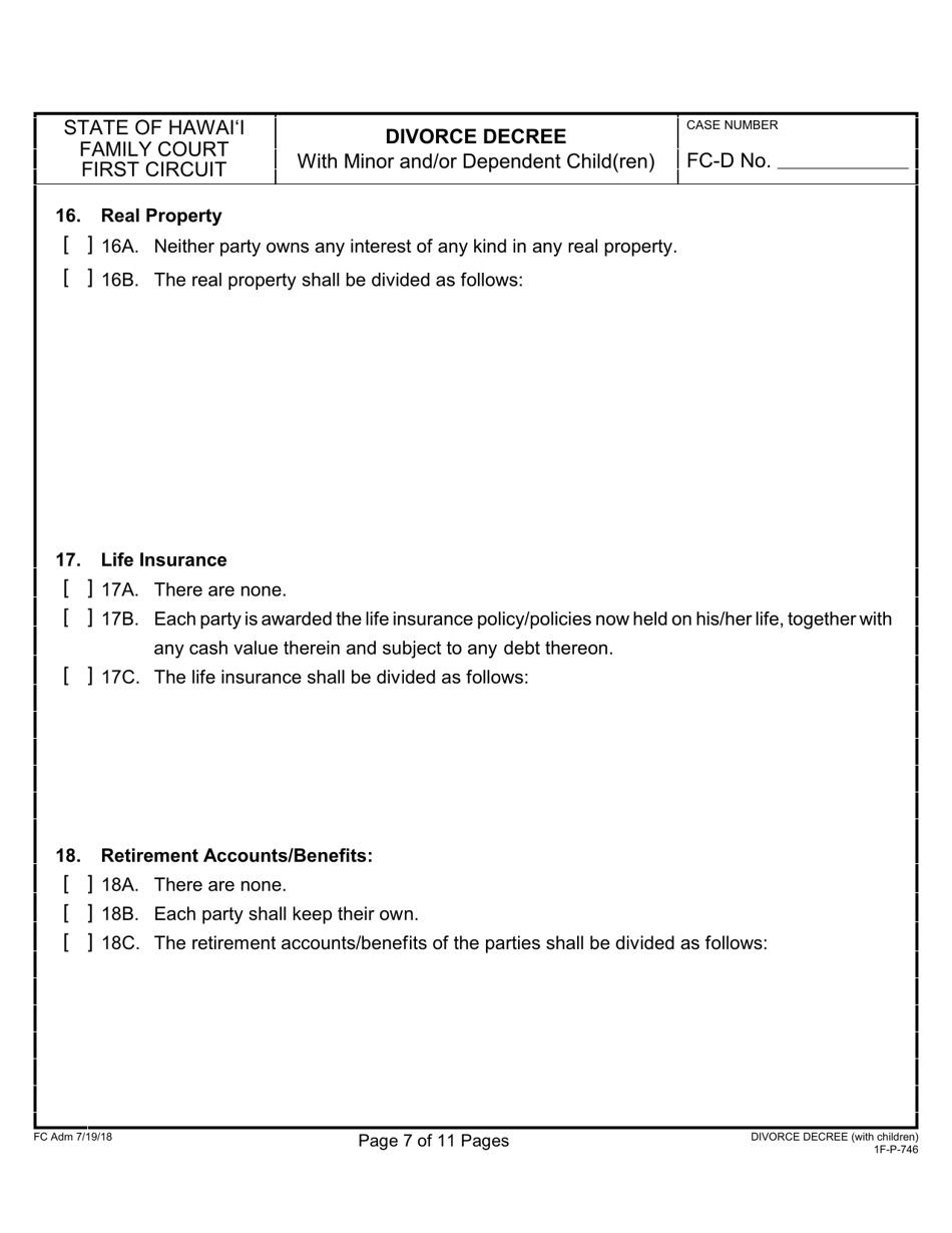
A: The Form 1F-P-746 includes details about the divorce, child custody arrangements, child support, visitation schedule, and any other relevant information regarding minor and/or dependent child(ren).

Q: Who can use the Form 1F-P-746?
A: The Form 1F-P-746 can be used by parties seeking a divorce in the state of Hawaii who have minor and/or dependent child(ren) involved.

Q: Do I need a lawyer to fill out the Form 1F-P-746?
A: While it is not required to have a lawyer, it is recommended to seek legal advice or assistance when filling out the Form 1F-P-746 to ensure it is completed accurately and in compliance with the laws of Hawaii.

Q: Are there any fees associated with filing the Form 1F-P-746?
A: Yes, there may be filing fees associated with filing the Form 1F-P-746. The fees vary by jurisdiction, so it is best to check with the specific court where you plan to file the form.

Q: Is the Form 1F-P-746 specific to Hawaii?
A: Yes, the Form 1F-P-746 is specific to the state of Hawaii and should only be used for divorce cases involving minor and/or dependent child(ren) in Hawaii.

Q: Can the Form 1F-P-746 be modified?
A: The Form 1F-P-746 can be modified to fit the specific needs of the divorcing parties, but any modifications should be done in consultation with an attorney or as directed by the court.

Q: What should I do after completing the Form 1F-P-746?
A: After completing the Form 1F-P-746, you should file it with the appropriate family court in Hawaii and follow any further instructions or requirements provided by the court.

ADVERTISEMENT

Form Details:

  • Released on December 1, 2018;
  • The latest edition provided by the Hawaii Family Court;
  • Easy to use and ready to print;
  • Quick to customize;
  • Compatible with most PDF-viewing applications;
  • Fill out the form in our online filing application.

Download a fillable version of Form 1F-P-746 by clicking the link below or browse more documents and templates provided by the Hawaii Family Court.

Download Form 1F-P-746 Divorce Decree With Minor and / or Dependent Child(Ren) - Hawaii

4.7 of 5 (13 votes)
  • Form 1F-P-746 Divorce Decree With Minor and/or Dependent Child(Ren) - Hawaii

    1

  • Form 1F-P-746 Divorce Decree With Minor and/or Dependent Child(Ren) - Hawaii, Page 2

    2

  • Form 1F-P-746 Divorce Decree With Minor and/or Dependent Child(Ren) - Hawaii, Page 3

    3

  • Form 1F-P-746 Divorce Decree With Minor and/or Dependent Child(Ren) - Hawaii, Page 4

    4

  • Form 1F-P-746 Divorce Decree With Minor and/or Dependent Child(Ren) - Hawaii, Page 5

    5

  • Form 1F-P-746 Divorce Decree With Minor and/or Dependent Child(Ren) - Hawaii, Page 6

    6

  • Form 1F-P-746 Divorce Decree With Minor and/or Dependent Child(Ren) - Hawaii, Page 7

    7

  • Form 1F-P-746 Divorce Decree With Minor and/or Dependent Child(Ren) - Hawaii, Page 8

    8

  • Form 1F-P-746 Divorce Decree With Minor and/or Dependent Child(Ren) - Hawaii, Page 9

    9

  • Form 1F-P-746 Divorce Decree With Minor and/or Dependent Child(Ren) - Hawaii, Page 10

    10

  • Form 1F-P-746 Divorce Decree With Minor and/or Dependent Child(Ren) - Hawaii, Page 11

    11

  • Form 1F-P-746 Divorce Decree With Minor and / or Dependent Child(Ren) - Hawaii, Page 1
  • Form 1F-P-746 Divorce Decree With Minor and / or Dependent Child(Ren) - Hawaii, Page 2
  • Form 1F-P-746 Divorce Decree With Minor and / or Dependent Child(Ren) - Hawaii, Page 3
  • Form 1F-P-746 Divorce Decree With Minor and / or Dependent Child(Ren) - Hawaii, Page 4
  • Form 1F-P-746 Divorce Decree With Minor and / or Dependent Child(Ren) - Hawaii, Page 5
  • Form 1F-P-746 Divorce Decree With Minor and / or Dependent Child(Ren) - Hawaii, Page 6
  • Form 1F-P-746 Divorce Decree With Minor and / or Dependent Child(Ren) - Hawaii, Page 7
  • Form 1F-P-746 Divorce Decree With Minor and / or Dependent Child(Ren) - Hawaii, Page 8
  • Form 1F-P-746 Divorce Decree With Minor and / or Dependent Child(Ren) - Hawaii, Page 9
  • Form 1F-P-746 Divorce Decree With Minor and / or Dependent Child(Ren) - Hawaii, Page 10
  • Form 1F-P-746 Divorce Decree With Minor and / or Dependent Child(Ren) - Hawaii, Page 11
Prev 1 2 3 4 5 ... 11 Next
ADVERTISEMENT