State Form 53590 Rule 6 Industrial Storm Water General Permit - Storm Water Discharge Monitoring Report - Indiana

State Form 53590 Rule 6 Industrial Storm Water General Permit - Storm Water Discharge Monitoring Report - Indiana

What Is State Form 53590?

This is a legal form that was released by the Indiana Department of Environmental Management - a government authority operating within Indiana. As of today, no separate filing guidelines for the form are provided by the issuing department.

FAQ

Q: What is State Form 53590?
A: State Form 53590 is a form used for reporting storm water discharge monitoring in Indiana.

Q: What is Rule 6 Industrial Storm Water General Permit?
A: Rule 6 Industrial Storm Water General Permit is a permit that regulates storm water discharges from industrial facilities in Indiana.

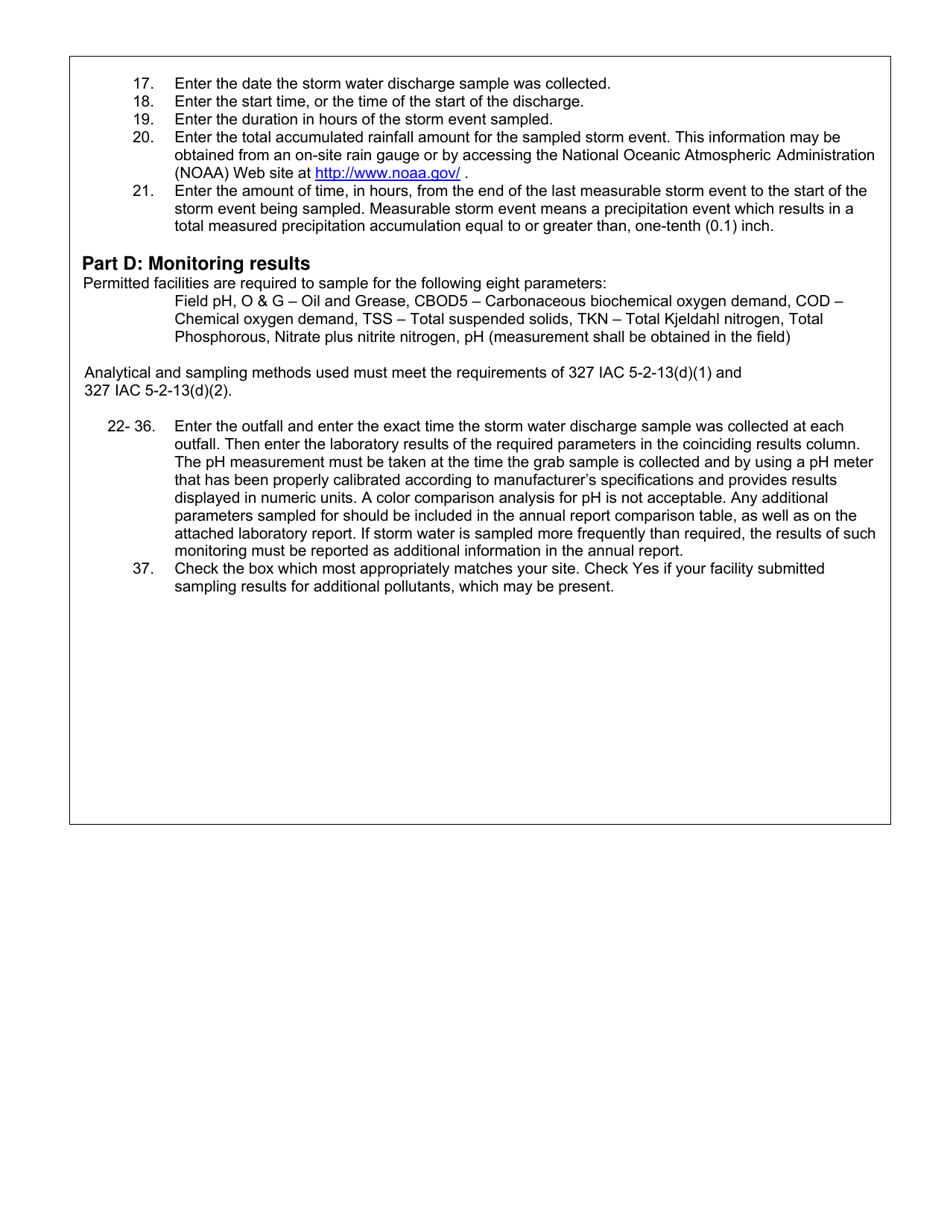
Q: What is the Storm Water Discharge Monitoring Report?
A: The Storm Water Discharge Monitoring Report is a report that needs to be submitted by industrial facilities in Indiana to document and monitor their storm water discharges.

Q: Who needs to submit the Storm Water Discharge Monitoring Report?
A: Industrial facilities in Indiana that are covered under the Rule 6 Industrial Storm Water General Permit need to submit the Storm Water Discharge Monitoring Report.

Q: What information is required in the Storm Water Discharge Monitoring Report?
A: The Storm Water Discharge Monitoring Report requires information such as the facility's name and address, discharge measurements, sampling details, and any corrective actions taken.

ADVERTISEMENT

Form Details:

  • Released on December 1, 2009;
  • The latest edition provided by the Indiana Department of Environmental Management;
  • Easy to use and ready to print;
  • Quick to customize;
  • Compatible with most PDF-viewing applications;
  • Fill out the form in our online filing application.

Download a fillable version of State Form 53590 by clicking the link below or browse more documents and templates provided by the Indiana Department of Environmental Management.

Download State Form 53590 Rule 6 Industrial Storm Water General Permit - Storm Water Discharge Monitoring Report - Indiana

4.6 of 5 (23 votes)
  • State Form 53590 Rule 6 Industrial Storm Water General Permit - Storm Water Discharge Monitoring Report - Indiana

    1

  • State Form 53590 Rule 6 Industrial Storm Water General Permit - Storm Water Discharge Monitoring Report - Indiana, Page 2

    2

  • State Form 53590 Rule 6 Industrial Storm Water General Permit - Storm Water Discharge Monitoring Report - Indiana, Page 3

    3

  • State Form 53590 Rule 6 Industrial Storm Water General Permit - Storm Water Discharge Monitoring Report - Indiana, Page 4

    4

  • State Form 53590 Rule 6 Industrial Storm Water General Permit - Storm Water Discharge Monitoring Report - Indiana, Page 1
  • State Form 53590 Rule 6 Industrial Storm Water General Permit - Storm Water Discharge Monitoring Report - Indiana, Page 2
  • State Form 53590 Rule 6 Industrial Storm Water General Permit - Storm Water Discharge Monitoring Report - Indiana, Page 3
  • State Form 53590 Rule 6 Industrial Storm Water General Permit - Storm Water Discharge Monitoring Report - Indiana, Page 4
Prev 1 2 3 4 Next
ADVERTISEMENT