Form DOC16-352 Outdoor Heat Exposure Awareness Training - Washington

Notification Icon This version of the form is not currently in use and is provided for reference only. Download this version of Form DOC16-352 for the current year.

Form DOC16-352 Outdoor Heat Exposure Awareness Training - Washington

What Is Form DOC16-352?

This is a legal form that was released by the Washington State Department of Corrections - a government authority operating within Washington. As of today, no separate filing guidelines for the form are provided by the issuing department.

FAQ

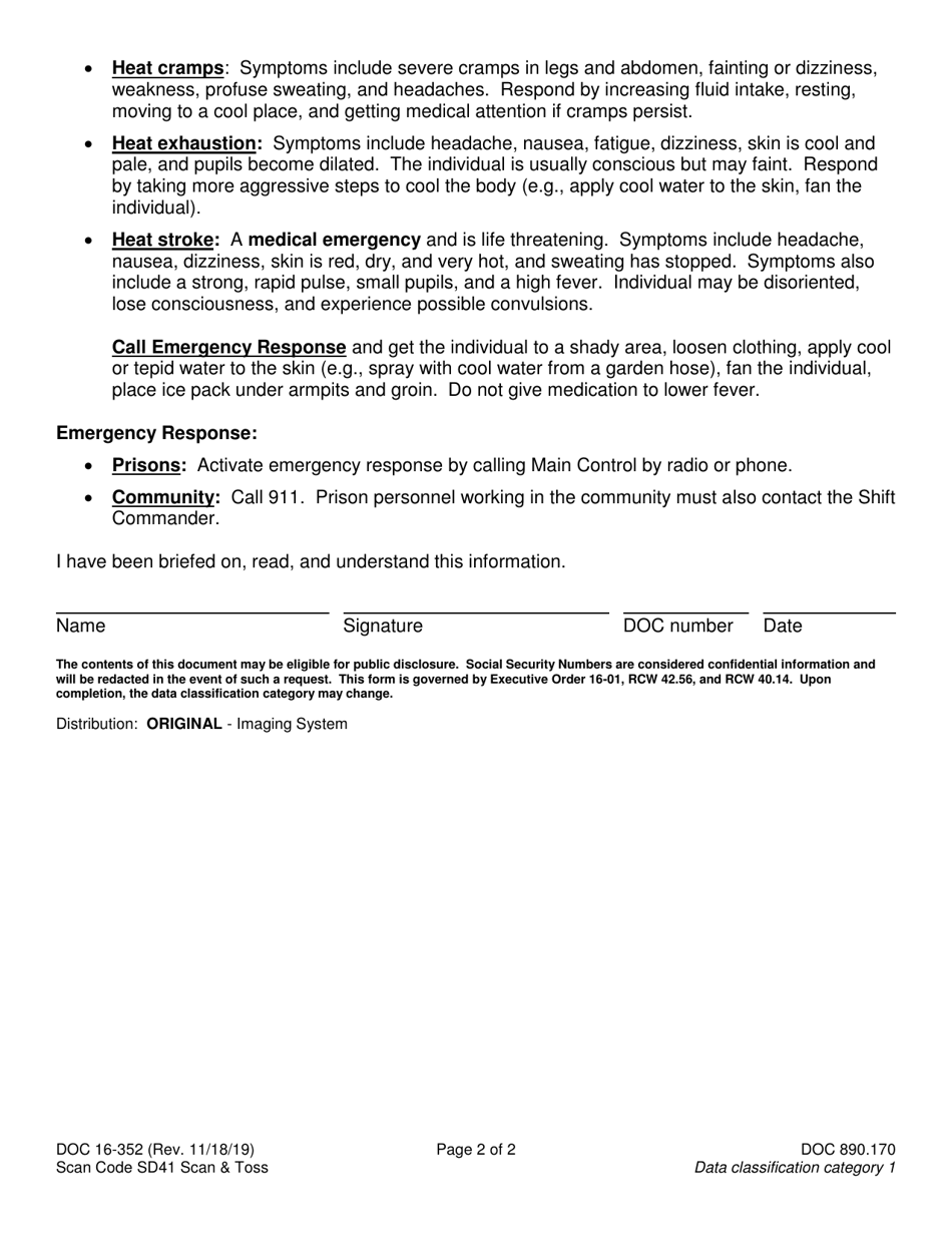
Q: What is DOC16-352 Outdoor Heat Exposure Awareness Training?
A: DOC16-352 Outdoor Heat Exposure Awareness Training is an occupational training program in Washington that educates workers about the risks of outdoor heat exposure and emphasizes the importance of prevention.

Q: Who is this training for?
A: This training is designed for workers in Washington who are exposed to outdoor heat in their job, such as construction workers, agriculture workers, and outdoor laborers.

Q: What are the risks of outdoor heat exposure?
A: Outdoor heat exposure can lead to heat-related illnesses such as heat exhaustion and heat stroke, which can be life-threatening. It can also increase the risk of accidents and injuries.

Q: What does this training cover?
A: This training covers topics such as recognizing the signs and symptoms of heat-related illnesses, understanding risk factors and preventive measures, and knowing how to respond to a heat-related emergency.

Q: How long is the training?
A: The duration of the training may vary, but typically it can range from 1 to 2 hours.

Q: Is this training mandatory?
A: In Washington, certain employers are required to provide outdoor heat exposure awareness training to their workers as part of their safety and health requirements.

ADVERTISEMENT

Form Details:

  • Released on November 18, 2019;
  • The latest edition provided by the Washington State Department of Corrections;
  • Easy to use and ready to print;
  • Available in Spanish;
  • Quick to customize;
  • Compatible with most PDF-viewing applications;
  • Fill out the form in our online filing application.

Download a printable version of Form DOC16-352 by clicking the link below or browse more documents and templates provided by the Washington State Department of Corrections.

Download Form DOC16-352 Outdoor Heat Exposure Awareness Training - Washington

4.5 of 5 (16 votes)
  • Form DOC16-352 Outdoor Heat Exposure Awareness Training - Washington

    1

  • Form DOC16-352 Outdoor Heat Exposure Awareness Training - Washington, Page 2

    2

  • Form DOC16-352 Outdoor Heat Exposure Awareness Training - Washington, Page 1
  • Form DOC16-352 Outdoor Heat Exposure Awareness Training - Washington, Page 2
Prev 1 2 Next
ADVERTISEMENT