Form HSMV-84019 Application and Claim to Recover Compensation From the Mobile Home and Recreational Vehicle Trust Fund - Florida

Form HSMV-84019 Application and Claim to Recover Compensation From the Mobile Home and Recreational Vehicle Trust Fund - Florida

What Is Form HSMV-84019?

This is a legal form that was released by the Florida Department of Highway Safety and Motor Vehicles - a government authority operating within Florida. As of today, no separate filing guidelines for the form are provided by the issuing department.

FAQ

Q: What is Form HSMV-84019?
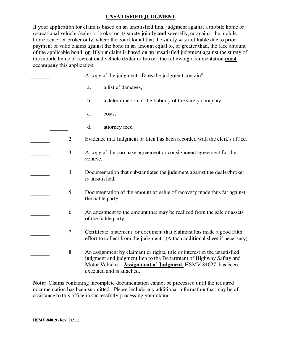
A: Form HSMV-84019 is the Application and Claim to Recover Compensation From the Mobile Home and Recreational VehicleTrust Fund in Florida.

Q: What is the purpose of Form HSMV-84019?
A: The purpose of Form HSMV-84019 is to request compensation from the Mobile Home and Recreational Vehicle Trust Fund in Florida.

Q: Who can use Form HSMV-84019?
A: Any individual who has suffered financial loss due to an insolvent mobile home or recreational vehicle dealer in Florida can use Form HSMV-84019.

Q: What should be included in Form HSMV-84019?
A: Form HSMV-84019 should include information about the claimant, details of the financial loss, supporting documentation, and any other required information.

Q: Is there a deadline for submitting Form HSMV-84019?
A: Yes, there is a deadline for submitting Form HSMV-84019. It should be filed within one year from the date of discovering the financial loss.

Q: Is there a fee for submitting Form HSMV-84019?
A: No, there is no fee for submitting Form HSMV-84019.

Q: What happens after submitting Form HSMV-84019?
A: After submitting Form HSMV-84019, it will be reviewed by the Mobile Home and Recreational Vehicle Trust Fund to determine if compensation can be provided.

Q: How long does it take to receive compensation after submitting Form HSMV-84019?
A: The timeline for receiving compensation after submitting Form HSMV-84019 depends on the complexity of the claim and the availability of funds in the Mobile Home and Recreational Vehicle Trust Fund.

Q: Can I appeal if my claim is denied?
A: Yes, if your claim is denied, you have the right to appeal the decision within 30 days of receiving the denial notice.

ADVERTISEMENT

Form Details:

  • Released on January 1, 2011;
  • The latest edition provided by the Florida Department of Highway Safety and Motor Vehicles;
  • Easy to use and ready to print;
  • Quick to customize;
  • Compatible with most PDF-viewing applications;
  • Fill out the form in our online filing application.

Download a fillable version of Form HSMV-84019 by clicking the link below or browse more documents and templates provided by the Florida Department of Highway Safety and Motor Vehicles.

Download Form HSMV-84019 Application and Claim to Recover Compensation From the Mobile Home and Recreational Vehicle Trust Fund - Florida

4.6 of 5 (33 votes)
  • Form HSMV-84019 Application and Claim to Recover Compensation From the Mobile Home and Recreational Vehicle Trust Fund - Florida

    1

  • Form HSMV-84019 Application and Claim to Recover Compensation From the Mobile Home and Recreational Vehicle Trust Fund - Florida, Page 2

    2

  • Form HSMV-84019 Application and Claim to Recover Compensation From the Mobile Home and Recreational Vehicle Trust Fund - Florida, Page 3

    3

  • Form HSMV-84019 Application and Claim to Recover Compensation From the Mobile Home and Recreational Vehicle Trust Fund - Florida, Page 4

    4

  • Form HSMV-84019 Application and Claim to Recover Compensation From the Mobile Home and Recreational Vehicle Trust Fund - Florida, Page 5

    5

  • Form HSMV-84019 Application and Claim to Recover Compensation From the Mobile Home and Recreational Vehicle Trust Fund - Florida, Page 1
  • Form HSMV-84019 Application and Claim to Recover Compensation From the Mobile Home and Recreational Vehicle Trust Fund - Florida, Page 2
  • Form HSMV-84019 Application and Claim to Recover Compensation From the Mobile Home and Recreational Vehicle Trust Fund - Florida, Page 3
  • Form HSMV-84019 Application and Claim to Recover Compensation From the Mobile Home and Recreational Vehicle Trust Fund - Florida, Page 4
  • Form HSMV-84019 Application and Claim to Recover Compensation From the Mobile Home and Recreational Vehicle Trust Fund - Florida, Page 5
Prev 1 2 3 4 5 Next
ADVERTISEMENT

Related Documents