Form 3DC51 Petition for Ex Parte Temporary Restraining Order and for Injunction Against Harassment; Declaration of Petitioner; Temporary Restraining Order Against Harassment; and Notice of Hearing - Hawaii

Form 3DC51 Petition for Ex Parte Temporary Restraining Order and for Injunction Against Harassment; Declaration of Petitioner; Temporary Restraining Order Against Harassment; and Notice of Hearing - Hawaii

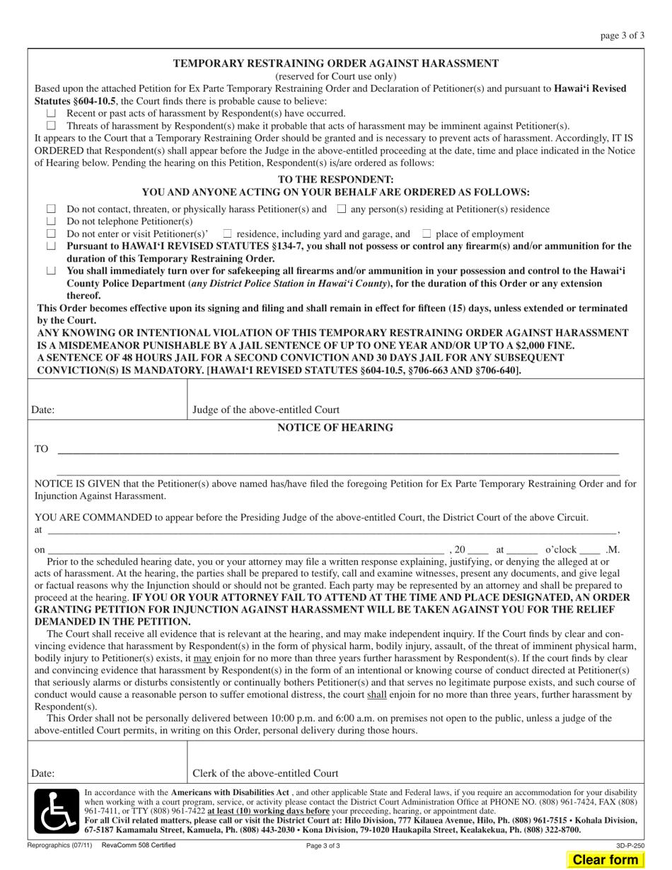
What Is Form 3DC51?

This is a legal form that was released by the Hawaii District Courts - a government authority operating within Hawaii. As of today, no separate filing guidelines for the form are provided by the issuing department.

FAQ

Q: What is Form 3DC51?
A: Form 3DC51 is a petition for an Ex Parte Temporary Restraining Order and for Injunction Against Harassment in Hawaii.

Q: What does the petition involve?
A: The petition involves seeking a temporary restraining order and an injunction against harassment.

Q: Who is the petitioner?
A: The petitioner is the individual seeking the restraining order and injunction against harassment.

Q: What is an Ex Parte Temporary Restraining Order?
A: An Ex Parte Temporary Restraining Order is a court order that provides immediate protection against harassment without prior notice to the other party.

Q: What is an injunction against harassment?
A: An injunction against harassment is a court order that prohibits and prevents the respondent from engaging in any form of harassment against the petitioner.

Q: What is the purpose of the Notice of Hearing?
A: The Notice of Hearing informs the parties involved about the date and time of the court hearing regarding the petition.

ADVERTISEMENT

Form Details:

  • Released on July 1, 2011;
  • The latest edition provided by the Hawaii District Courts;
  • Easy to use and ready to print;
  • Quick to customize;
  • Compatible with most PDF-viewing applications;
  • Fill out the form in our online filing application.

Download a fillable version of Form 3DC51 by clicking the link below or browse more documents and templates provided by the Hawaii District Courts.

Download Form 3DC51 Petition for Ex Parte Temporary Restraining Order and for Injunction Against Harassment; Declaration of Petitioner; Temporary Restraining Order Against Harassment; and Notice of Hearing - Hawaii

4.8 of 5 (18 votes)
  • Form 3DC51 Petition for Ex Parte Temporary Restraining Order and for Injunction Against Harassment; Declaration of Petitioner; Temporary Restraining Order Against Harassment; and Notice of Hearing - Hawaii

    1

  • Form 3DC51 Petition for Ex Parte Temporary Restraining Order and for Injunction Against Harassment; Declaration of Petitioner; Temporary Restraining Order Against Harassment; and Notice of Hearing - Hawaii, Page 2

    2

  • Form 3DC51 Petition for Ex Parte Temporary Restraining Order and for Injunction Against Harassment; Declaration of Petitioner; Temporary Restraining Order Against Harassment; and Notice of Hearing - Hawaii, Page 3

    3

  • Form 3DC51 Petition for Ex Parte Temporary Restraining Order and for Injunction Against Harassment; Declaration of Petitioner; Temporary Restraining Order Against Harassment; and Notice of Hearing - Hawaii, Page 1
  • Form 3DC51 Petition for Ex Parte Temporary Restraining Order and for Injunction Against Harassment; Declaration of Petitioner; Temporary Restraining Order Against Harassment; and Notice of Hearing - Hawaii, Page 2
  • Form 3DC51 Petition for Ex Parte Temporary Restraining Order and for Injunction Against Harassment; Declaration of Petitioner; Temporary Restraining Order Against Harassment; and Notice of Hearing - Hawaii, Page 3
Prev 1 2 3 Next
ADVERTISEMENT