Form FIS1017 Application for Trust Powers - Michigan

Form FIS1017 Application for Trust Powers - Michigan

What Is Form FIS1017?

This is a legal form that was released by the Michigan Department of Insurance and Financial Services - a government authority operating within Michigan. As of today, no separate filing guidelines for the form are provided by the issuing department.

FAQ

Q: What is Form FIS1017?
A: Form FIS1017 is an application for obtaining trust powers in the state of Michigan.

Q: Who can use Form FIS1017?
A: Any individual or entity interested in obtaining trust powers in Michigan can use Form FIS1017.

Q: What are trust powers?
A: Trust powers refer to the authority granted to individuals or entities to act as trustees and manage trusts.

Q: What information is required on Form FIS1017?
A: Form FIS1017 requires various information, including the applicant's name, contact information, business details (if applicable), and financial information.

Q: Are there any eligibility criteria for obtaining trust powers?
A: Yes, there are eligibility criteria for obtaining trust powers in Michigan. These criteria are outlined in the application form and may include financial stability requirements.

Q: How long does it take to process Form FIS1017?
A: The processing time for Form FIS1017 may vary. It is recommended to check with the Michigan Department of Insurance and Financial Services for the most up-to-date information on processing times.

Q: What should I do if I have questions or need assistance with Form FIS1017?
A: If you have questions or need assistance with Form FIS1017, you can contact the Michigan Department of Insurance and Financial Services directly for guidance.

ADVERTISEMENT

Form Details:

  • Released on March 1, 2018;
  • The latest edition provided by the Michigan Department of Insurance and Financial Services;
  • Easy to use and ready to print;
  • Quick to customize;
  • Compatible with most PDF-viewing applications;
  • Fill out the form in our online filing application.

Download a fillable version of Form FIS1017 by clicking the link below or browse more documents and templates provided by the Michigan Department of Insurance and Financial Services.

Download Form FIS1017 Application for Trust Powers - Michigan

4.8 of 5 (22 votes)
  • Form FIS1017 Application for Trust Powers - Michigan

    1

  • Form FIS1017 Application for Trust Powers - Michigan, Page 2

    2

  • Form FIS1017 Application for Trust Powers - Michigan, Page 3

    3

  • Form FIS1017 Application for Trust Powers - Michigan, Page 4

    4

  • Form FIS1017 Application for Trust Powers - Michigan, Page 5

    5

  • Form FIS1017 Application for Trust Powers - Michigan, Page 6

    6

  • Form FIS1017 Application for Trust Powers - Michigan, Page 7

    7

  • Form FIS1017 Application for Trust Powers - Michigan, Page 8

    8

  • Form FIS1017 Application for Trust Powers - Michigan, Page 9

    9

  • Form FIS1017 Application for Trust Powers - Michigan, Page 10

    10

  • Form FIS1017 Application for Trust Powers - Michigan, Page 11

    11

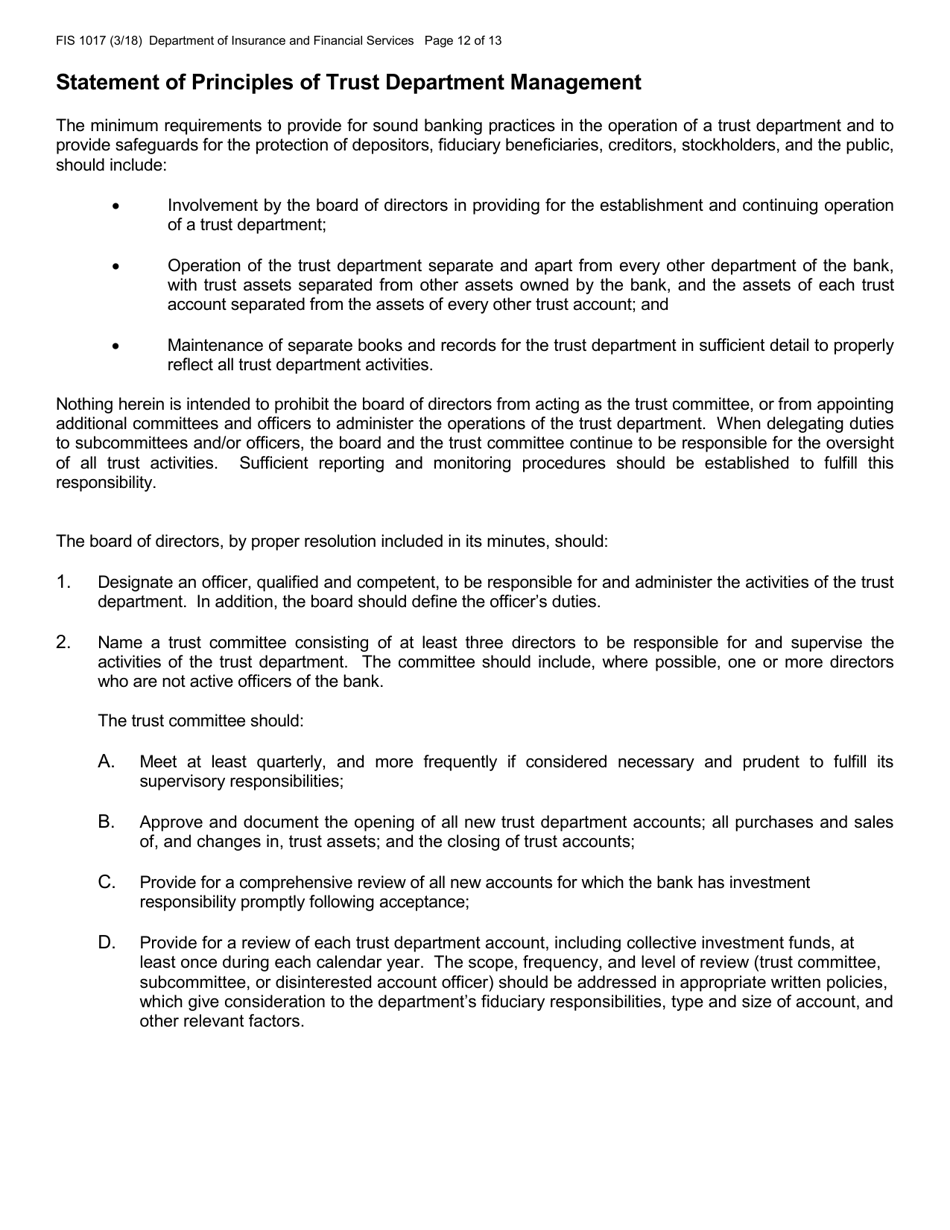
  • Form FIS1017 Application for Trust Powers - Michigan, Page 12

    12

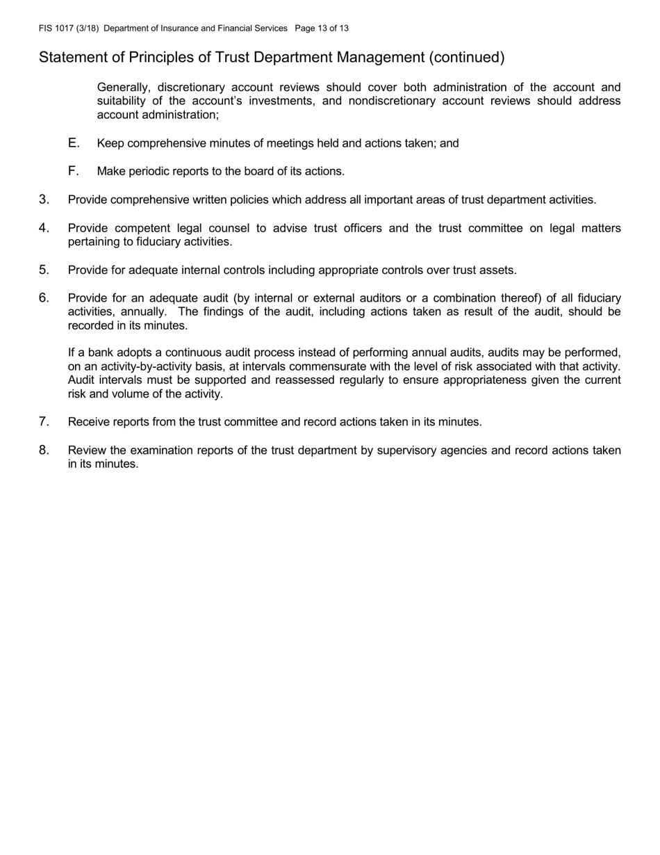
  • Form FIS1017 Application for Trust Powers - Michigan, Page 13

    13

  • Form FIS1017 Application for Trust Powers - Michigan, Page 1
  • Form FIS1017 Application for Trust Powers - Michigan, Page 2
  • Form FIS1017 Application for Trust Powers - Michigan, Page 3
  • Form FIS1017 Application for Trust Powers - Michigan, Page 4
  • Form FIS1017 Application for Trust Powers - Michigan, Page 5
  • Form FIS1017 Application for Trust Powers - Michigan, Page 6
  • Form FIS1017 Application for Trust Powers - Michigan, Page 7
  • Form FIS1017 Application for Trust Powers - Michigan, Page 8
  • Form FIS1017 Application for Trust Powers - Michigan, Page 9
  • Form FIS1017 Application for Trust Powers - Michigan, Page 10
  • Form FIS1017 Application for Trust Powers - Michigan, Page 11
  • Form FIS1017 Application for Trust Powers - Michigan, Page 12
  • Form FIS1017 Application for Trust Powers - Michigan, Page 13
Prev 1 2 3 4 5 ... 13 Next
ADVERTISEMENT