Sediment Sampling and Analysis Plan (Ssap) File Number Request Form - New Jersey

Notification Icon This version of the form is not currently in use and is provided for reference only. Download this version of the document for the current year.

Sediment Sampling and Analysis Plan (Ssap) File Number Request Form - New Jersey

Sediment Sampling and Analysis Plan (Ssap) File Number Request Form is a legal document that was released by the New Jersey Department of Environmental Protection - a government authority operating within New Jersey.

FAQ

Q: What is a Sediment Sampling and Analysis Plan (SSAP)?
A: A Sediment Sampling and Analysis Plan (SSAP) is a document that outlines the sampling and analysis procedures for collecting and analyzing sediment samples.

Q: Why do we need a Sediment Sampling and Analysis Plan (SSAP)?
A: A SSAP is needed to ensure consistent and standardized sampling and analysis methods for sediment samples in order to obtain accurate and reliable data.

Q: Who needs to submit a Sediment Sampling and Analysis Plan (SSAP) in New Jersey?
A: Anyone who is planning to conduct sediment sampling and analysis in New Jersey needs to submit a SSAP.

Q: How do I submit a Sediment Sampling and Analysis Plan (SSAP) in New Jersey?
A: You can submit a SSAP by completing and submitting the Sediment Sampling and Analysis Plan (SSAP) File Number Request Form.

Q: Is there a fee for submitting a Sediment Sampling and Analysis Plan (SSAP) in New Jersey?
A: Yes, there may be a fee associated with the submission of a SSAP in New Jersey. The specific fee amount can be found in the fee schedule provided by the regulatory agency.

Q: What information do I need to provide in the Sediment Sampling and Analysis Plan (SSAP) File Number Request Form?
A: You will need to provide information such as project details, sampling locations, sampling methods, laboratory analysis methods, and other relevant information.

Q: How long does it take to review a Sediment Sampling and Analysis Plan (SSAP) in New Jersey?
A: The review time for a SSAP in New Jersey may vary, but it typically takes several weeks to complete the review process.

Q: Can I start sediment sampling and analysis before my Sediment Sampling and Analysis Plan (SSAP) is approved?
A: No, you should not start sediment sampling and analysis until your SSAP is approved by the regulatory agency.

Q: What happens if my Sediment Sampling and Analysis Plan (SSAP) is rejected?
A: If your SSAP is rejected, you will be provided with feedback and guidance on how to revise and resubmit your plan for approval.

ADVERTISEMENT

Form Details:

  • The latest edition currently provided by the New Jersey Department of Environmental Protection;
  • Ready to use and print;
  • Easy to customize;
  • Compatible with most PDF-viewing applications;
  • Fill out the form in our online filing application.

Download a fillable version of the form by clicking the link below or browse more documents and templates provided by the New Jersey Department of Environmental Protection.

Download Sediment Sampling and Analysis Plan (Ssap) File Number Request Form - New Jersey

4.5 of 5 (11 votes)
  • Sediment Sampling and Analysis Plan (Ssap) File Number Request Form - New Jersey

    1

  • Sediment Sampling and Analysis Plan (Ssap) File Number Request Form - New Jersey, Page 2

    2

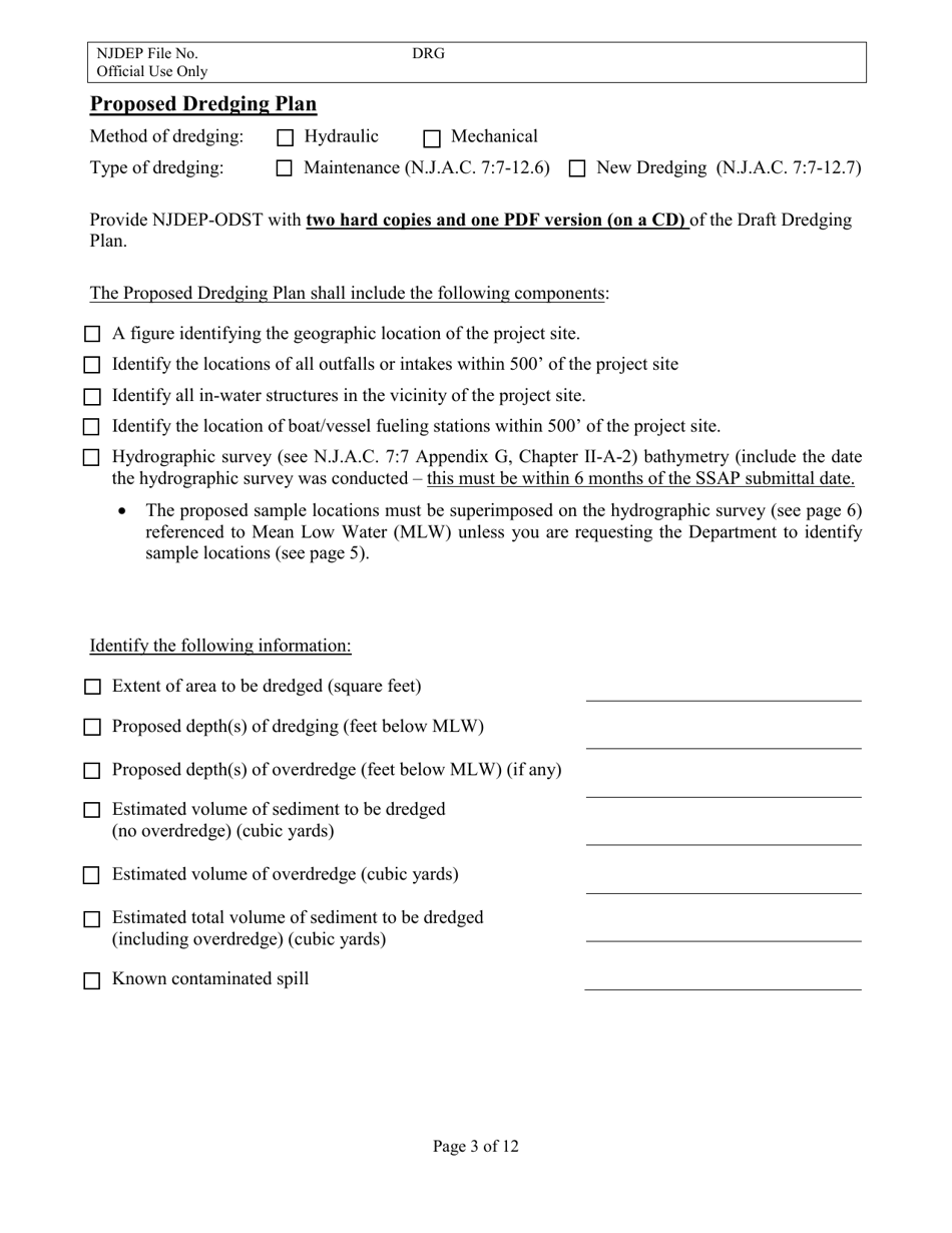
  • Sediment Sampling and Analysis Plan (Ssap) File Number Request Form - New Jersey, Page 3

    3

  • Sediment Sampling and Analysis Plan (Ssap) File Number Request Form - New Jersey, Page 4

    4

  • Sediment Sampling and Analysis Plan (Ssap) File Number Request Form - New Jersey, Page 5

    5

  • Sediment Sampling and Analysis Plan (Ssap) File Number Request Form - New Jersey, Page 6

    6

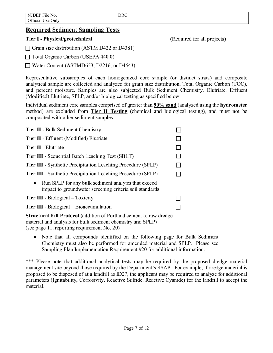
  • Sediment Sampling and Analysis Plan (Ssap) File Number Request Form - New Jersey, Page 7

    7

  • Sediment Sampling and Analysis Plan (Ssap) File Number Request Form - New Jersey, Page 8

    8

  • Sediment Sampling and Analysis Plan (Ssap) File Number Request Form - New Jersey, Page 9

    9

  • Sediment Sampling and Analysis Plan (Ssap) File Number Request Form - New Jersey, Page 10

    10

  • Sediment Sampling and Analysis Plan (Ssap) File Number Request Form - New Jersey, Page 11

    11

  • Sediment Sampling and Analysis Plan (Ssap) File Number Request Form - New Jersey, Page 12

    12

  • Sediment Sampling and Analysis Plan (Ssap) File Number Request Form - New Jersey, Page 1
  • Sediment Sampling and Analysis Plan (Ssap) File Number Request Form - New Jersey, Page 2
  • Sediment Sampling and Analysis Plan (Ssap) File Number Request Form - New Jersey, Page 3
  • Sediment Sampling and Analysis Plan (Ssap) File Number Request Form - New Jersey, Page 4
  • Sediment Sampling and Analysis Plan (Ssap) File Number Request Form - New Jersey, Page 5
  • Sediment Sampling and Analysis Plan (Ssap) File Number Request Form - New Jersey, Page 6
  • Sediment Sampling and Analysis Plan (Ssap) File Number Request Form - New Jersey, Page 7
  • Sediment Sampling and Analysis Plan (Ssap) File Number Request Form - New Jersey, Page 8
  • Sediment Sampling and Analysis Plan (Ssap) File Number Request Form - New Jersey, Page 9
  • Sediment Sampling and Analysis Plan (Ssap) File Number Request Form - New Jersey, Page 10
  • Sediment Sampling and Analysis Plan (Ssap) File Number Request Form - New Jersey, Page 11
  • Sediment Sampling and Analysis Plan (Ssap) File Number Request Form - New Jersey, Page 12
Prev 1 2 3 4 5 ... 12 Next
ADVERTISEMENT