Form SFN6096 Request Permission to Shoot From a Stationary Motor Vehicle - North Dakota

Notification Icon This version of the form is not currently in use and is provided for reference only. Download this version of Form SFN6096 for the current year.

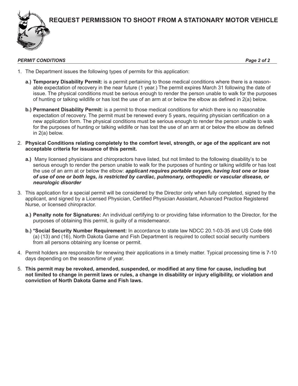
Form SFN6096 Request Permission to Shoot From a Stationary Motor Vehicle - North Dakota

What Is Form SFN6096?

This is a legal form that was released by the North Dakota Game and Fish Department - a government authority operating within North Dakota. As of today, no separate filing guidelines for the form are provided by the issuing department.

FAQ

Q: What is Form SFN6096?
A: Form SFN6096 is a request form for permission to shoot from a stationary motor vehicle in North Dakota.

Q: Why would I need to shoot from a stationary motor vehicle?
A: Shooting from a stationary motor vehicle may be necessary for certain hunting activities or wildlife management purposes.

Q: Do I need permission to shoot from a stationary motor vehicle in North Dakota?
A: Yes, you need permission to shoot from a stationary motor vehicle in North Dakota. Form SFN6096 is used to request this permission.

Q: What information do I need to provide on Form SFN6096?
A: You will need to provide your personal information, including your name and contact details, as well as details about the shooting activity and the location where it will take place.

Q: How long does it take to get permission to shoot from a stationary motor vehicle?
A: The time it takes to get permission may vary, but it is recommended to submit your request well in advance of the shooting activity.

Q: Are there any restrictions or regulations for shooting from a stationary motor vehicle in North Dakota?
A: Yes, there are regulations and restrictions that apply. It is important to familiarize yourself with the specific rules and guidelines outlined by the North Dakota Game and Fish Department.

Q: Who should I contact if I have further questions about shooting from a stationary motor vehicle in North Dakota?
A: For further questions, you can contact the North Dakota Game and Fish Department or speak to your local game warden.

ADVERTISEMENT

Form Details:

  • Released on August 1, 2019;
  • The latest edition provided by the North Dakota Game and Fish Department;
  • Easy to use and ready to print;
  • Quick to customize;
  • Compatible with most PDF-viewing applications;
  • Fill out the form in our online filing application.

Download a printable version of Form SFN6096 by clicking the link below or browse more documents and templates provided by the North Dakota Game and Fish Department.

Download Form SFN6096 Request Permission to Shoot From a Stationary Motor Vehicle - North Dakota

4.6 of 5 (68 votes)
  • Form SFN6096 Request Permission to Shoot From a Stationary Motor Vehicle - North Dakota

    1

  • Form SFN6096 Request Permission to Shoot From a Stationary Motor Vehicle - North Dakota, Page 2

    2

  • Form SFN6096 Request Permission to Shoot From a Stationary Motor Vehicle - North Dakota, Page 1
  • Form SFN6096 Request Permission to Shoot From a Stationary Motor Vehicle - North Dakota, Page 2
Prev 1 2 Next
ADVERTISEMENT

Related Documents