Mother's Worksheet for Child's Birth Certificate - Rhode Island

Mother's Worksheet for Child's Birth Certificate - Rhode Island

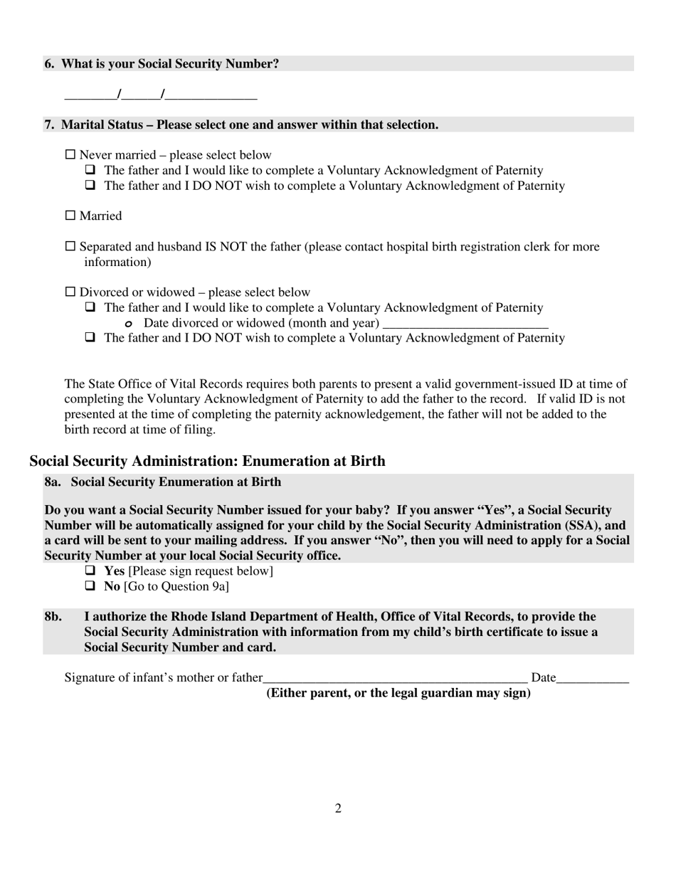
Mother's Worksheet for Child's Birth Certificate is a legal document that was released by the Rhode Island Department of Health - a government authority operating within Rhode Island.

FAQ

Q: What is a Mother's Worksheet for Child's Birth Certificate?
A: It is a form used to provide information about the mother for a child's birth certificate in Rhode Island.

Q: What information is needed on the Mother's Worksheet?
A: The form requires information such as the mother's full name, date of birth, place of birth, and social security number.

Q: Do both parents need to fill out a Mother's Worksheet?
A: No, only the mother needs to fill out the form.

Q: Is there a fee for obtaining a Mother's Worksheet?
A: No, there is no fee to obtain the form.

Q: What should I do if I need assistance in filling out the Mother's Worksheet?
A: If you need assistance, you can contact the Rhode Island Department of Health for guidance.

ADVERTISEMENT

Form Details:

  • Released on February 7, 2018;
  • The latest edition currently provided by the Rhode Island Department of Health;
  • Ready to use and print;
  • Easy to customize;
  • Compatible with most PDF-viewing applications;
  • Fill out the form in our online filing application.

Download a printable version of the form by clicking the link below or browse more documents and templates provided by the Rhode Island Department of Health.

Download Mother's Worksheet for Child's Birth Certificate - Rhode Island

4.4 of 5 (25 votes)
  • Mother's Worksheet for Child's Birth Certificate - Rhode Island

    1

  • Mother's Worksheet for Child's Birth Certificate - Rhode Island, Page 2

    2

  • Mother's Worksheet for Child's Birth Certificate - Rhode Island, Page 3

    3

  • Mother's Worksheet for Child's Birth Certificate - Rhode Island, Page 4

    4

  • Mother's Worksheet for Child's Birth Certificate - Rhode Island, Page 5

    5

  • Mother's Worksheet for Child's Birth Certificate - Rhode Island, Page 6

    6

  • Mother's Worksheet for Child's Birth Certificate - Rhode Island, Page 7

    7

  • Mother's Worksheet for Child's Birth Certificate - Rhode Island, Page 8

    8

  • Mothers Worksheet for Childs Birth Certificate - Rhode Island, Page 1
  • Mothers Worksheet for Childs Birth Certificate - Rhode Island, Page 2
  • Mothers Worksheet for Childs Birth Certificate - Rhode Island, Page 3
  • Mothers Worksheet for Childs Birth Certificate - Rhode Island, Page 4
  • Mothers Worksheet for Childs Birth Certificate - Rhode Island, Page 5
  • Mothers Worksheet for Childs Birth Certificate - Rhode Island, Page 6
  • Mothers Worksheet for Childs Birth Certificate - Rhode Island, Page 7
  • Mothers Worksheet for Childs Birth Certificate - Rhode Island, Page 8
Prev 1 2 3 4 5 ... 8 Next
ADVERTISEMENT