Form UIC-2 SFI COM Class-II Commercial Slurry Fracture Injection Well Application - Louisiana

Form UIC-2 SFI COM Class-II Commercial Slurry Fracture Injection Well Application - Louisiana

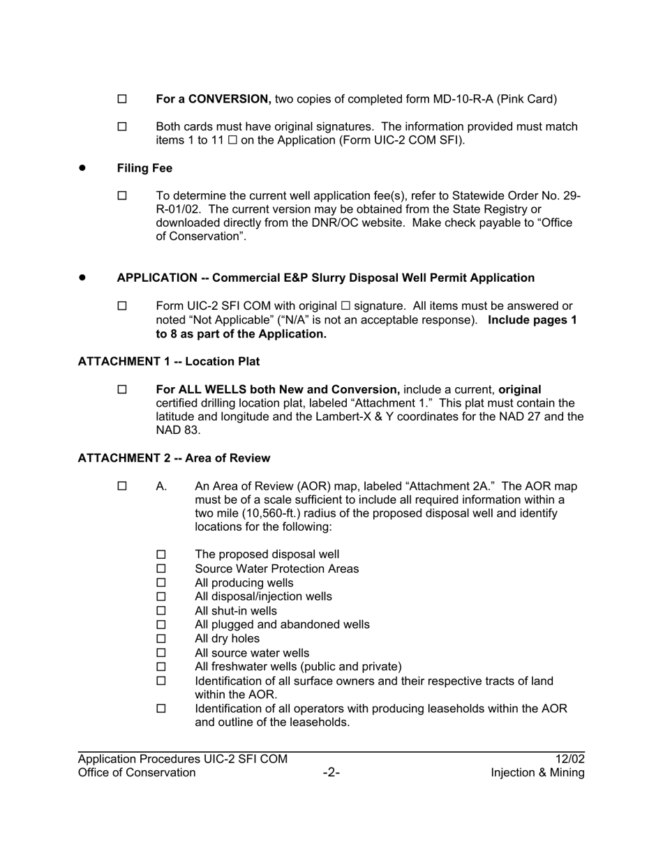
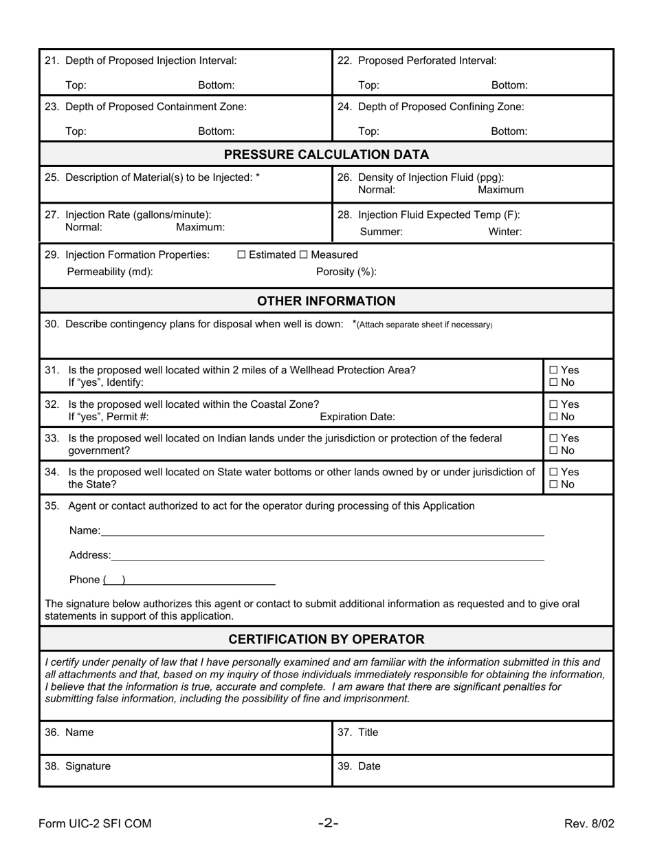
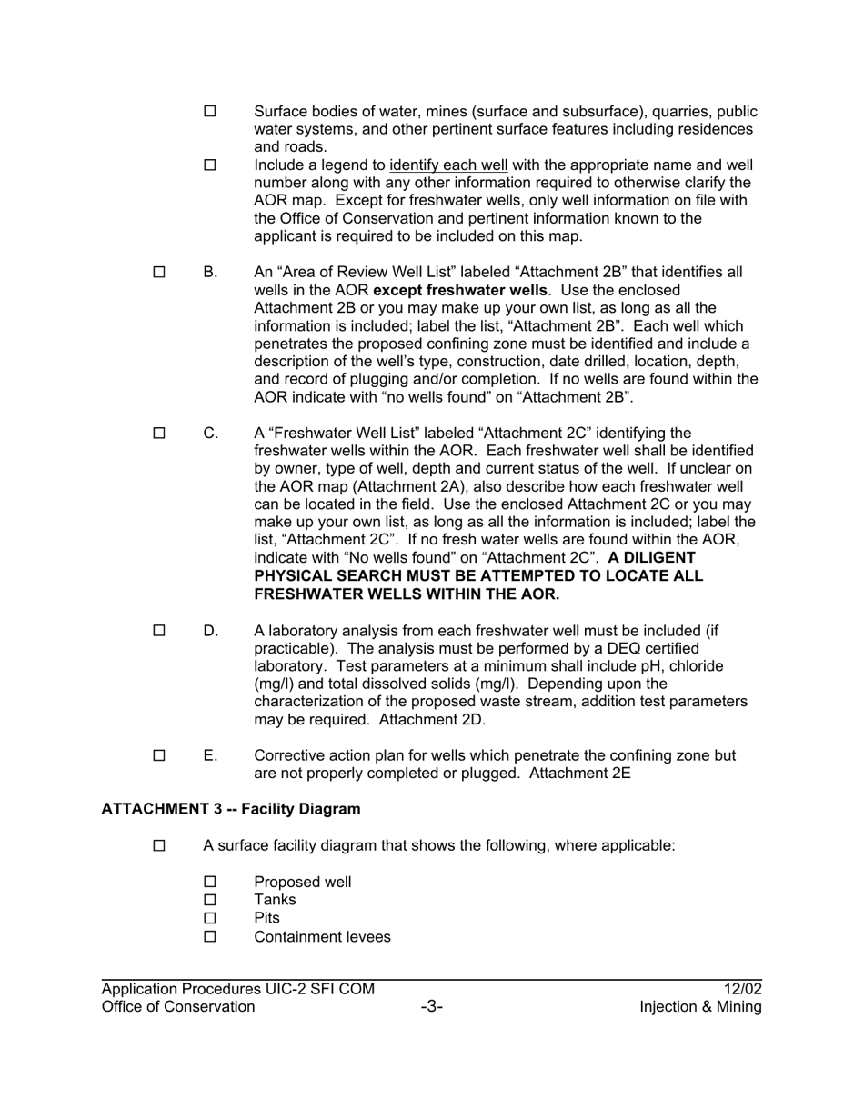
What Is Form UIC-2 SFI COM?

This is a legal form that was released by the Louisiana Department of Natural Resources - a government authority operating within Louisiana. As of today, no separate filing guidelines for the form are provided by the issuing department.

FAQ

Q: What is Form UIC-2 SFI COM?
A: Form UIC-2 SFI COM is an application form for a Class-II Commercial Slurry Fracture Injection Well in Louisiana.

Q: What is a Class-II Commercial Slurry Fracture Injection Well?
A: A Class-II Commercial Slurry Fracture Injection Well is a type of well used for the disposal of fluids or slurries into underground formations.

Q: What is the purpose of Form UIC-2 SFI COM?
A: The purpose of Form UIC-2 SFI COM is to apply for a permit to operate a Class-II Commercial Slurry Fracture Injection Well in Louisiana.

Q: What information is required in Form UIC-2 SFI COM?
A: Form UIC-2 SFI COM requires information such as the well operator's details, well location, well construction details, and fluid disposal plans.

ADVERTISEMENT

Form Details:

  • Released on August 1, 2002;
  • The latest edition provided by the Louisiana Department of Natural Resources;
  • Easy to use and ready to print;
  • Quick to customize;
  • Compatible with most PDF-viewing applications;
  • Fill out the form in our online filing application.

Download a printable version of Form UIC-2 SFI COM by clicking the link below or browse more documents and templates provided by the Louisiana Department of Natural Resources.

Download Form UIC-2 SFI COM Class-II Commercial Slurry Fracture Injection Well Application - Louisiana

4.3 of 5 (28 votes)
  • Form UIC-2 SFI COM Class-II Commercial Slurry Fracture Injection Well Application - Louisiana

    1

  • Form UIC-2 SFI COM Class-II Commercial Slurry Fracture Injection Well Application - Louisiana, Page 2

    2

  • Form UIC-2 SFI COM Class-II Commercial Slurry Fracture Injection Well Application - Louisiana, Page 3

    3

  • Form UIC-2 SFI COM Class-II Commercial Slurry Fracture Injection Well Application - Louisiana, Page 4

    4

  • Form UIC-2 SFI COM Class-II Commercial Slurry Fracture Injection Well Application - Louisiana, Page 5

    5

  • Form UIC-2 SFI COM Class-II Commercial Slurry Fracture Injection Well Application - Louisiana, Page 6

    6

  • Form UIC-2 SFI COM Class-II Commercial Slurry Fracture Injection Well Application - Louisiana, Page 7

    7

  • Form UIC-2 SFI COM Class-II Commercial Slurry Fracture Injection Well Application - Louisiana, Page 8

    8

  • Form UIC-2 SFI COM Class-II Commercial Slurry Fracture Injection Well Application - Louisiana, Page 9

    9

  • Form UIC-2 SFI COM Class-II Commercial Slurry Fracture Injection Well Application - Louisiana, Page 10

    10

  • Form UIC-2 SFI COM Class-II Commercial Slurry Fracture Injection Well Application - Louisiana, Page 11

    11

  • Form UIC-2 SFI COM Class-II Commercial Slurry Fracture Injection Well Application - Louisiana, Page 1
  • Form UIC-2 SFI COM Class-II Commercial Slurry Fracture Injection Well Application - Louisiana, Page 2
  • Form UIC-2 SFI COM Class-II Commercial Slurry Fracture Injection Well Application - Louisiana, Page 3
  • Form UIC-2 SFI COM Class-II Commercial Slurry Fracture Injection Well Application - Louisiana, Page 4
  • Form UIC-2 SFI COM Class-II Commercial Slurry Fracture Injection Well Application - Louisiana, Page 5
  • Form UIC-2 SFI COM Class-II Commercial Slurry Fracture Injection Well Application - Louisiana, Page 6
  • Form UIC-2 SFI COM Class-II Commercial Slurry Fracture Injection Well Application - Louisiana, Page 7
  • Form UIC-2 SFI COM Class-II Commercial Slurry Fracture Injection Well Application - Louisiana, Page 8
  • Form UIC-2 SFI COM Class-II Commercial Slurry Fracture Injection Well Application - Louisiana, Page 9
  • Form UIC-2 SFI COM Class-II Commercial Slurry Fracture Injection Well Application - Louisiana, Page 10
  • Form UIC-2 SFI COM Class-II Commercial Slurry Fracture Injection Well Application - Louisiana, Page 11
Prev 1 2 3 4 5 ... 11 Next
ADVERTISEMENT