Form LWC-WC IA-1 Workers Compensation - First Report of Injury or Illness - Louisiana

Form LWC-WC IA-1 Workers Compensation - First Report of Injury or Illness - Louisiana

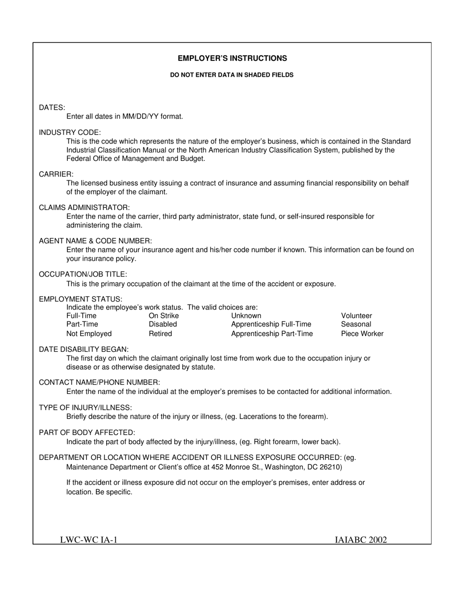
What Is Form LWC-WC IA-1?

This is a legal form that was released by the Louisiana Workforce Commission - a government authority operating within Louisiana. As of today, no separate filing guidelines for the form are provided by the issuing department.

FAQ

Q: What is the LWC-WC IA-1 Form?
A: The LWC-WC IA-1 Form is the First Report of Injury or Illness used for workers' compensation in Louisiana.

Q: What is the purpose of the LWC-WC IA-1 Form?
A: The purpose of the LWC-WC IA-1 Form is to report any work-related injuries or illnesses to the Louisiana Workforce Commission and the employer's workers' compensation insurance carrier.

Q: Who should fill out the LWC-WC IA-1 Form?
A: The LWC-WC IA-1 Form should be filled out by the injured employee or their representative, the employer, or the employer's workers' compensation insurance carrier.

Q: What information is required on the LWC-WC IA-1 Form?
A: The LWC-WC IA-1 Form requires information about the injured employee, the employer, the injury or illness, and any medical treatment received.

Q: Is the LWC-WC IA-1 Form mandatory?
A: Yes, the LWC-WC IA-1 Form is mandatory and must be completed within 10 days of the injury or illness.

ADVERTISEMENT

Form Details:

  • Released on January 1, 2002;
  • The latest edition provided by the Louisiana Workforce Commission;
  • Easy to use and ready to print;
  • Quick to customize;
  • Compatible with most PDF-viewing applications;
  • Fill out the form in our online filing application.

Download a fillable version of Form LWC-WC IA-1 by clicking the link below or browse more documents and templates provided by the Louisiana Workforce Commission.

Download Form LWC-WC IA-1 Workers Compensation - First Report of Injury or Illness - Louisiana

4.8 of 5 (67 votes)
  • Form LWC-WC IA-1 Workers Compensation - First Report of Injury or Illness - Louisiana

    1

  • Form LWC-WC IA-1 Workers Compensation - First Report of Injury or Illness - Louisiana, Page 2

    2

  • Form LWC-WC IA-1 Workers Compensation - First Report of Injury or Illness - Louisiana, Page 3

    3

  • Form LWC-WC IA-1 Workers Compensation - First Report of Injury or Illness - Louisiana, Page 1
  • Form LWC-WC IA-1 Workers Compensation - First Report of Injury or Illness - Louisiana, Page 2
  • Form LWC-WC IA-1 Workers Compensation - First Report of Injury or Illness - Louisiana, Page 3
Prev 1 2 3 Next
ADVERTISEMENT

Related Documents