Form 3F-P-302 Petition for an Order for Protection - Hawaii

Notification Icon This version of the form is not currently in use and is provided for reference only. Download this version of Form 3F-P-302 for the current year.

Form 3F-P-302 Petition for an Order for Protection - Hawaii

What Is Form 3F-P-302?

This is a legal form that was released by the Hawaii Family Court - a government authority operating within Hawaii. As of today, no separate filing guidelines for the form are provided by the issuing department.

FAQ

Q: What is Form 3F-P-302?
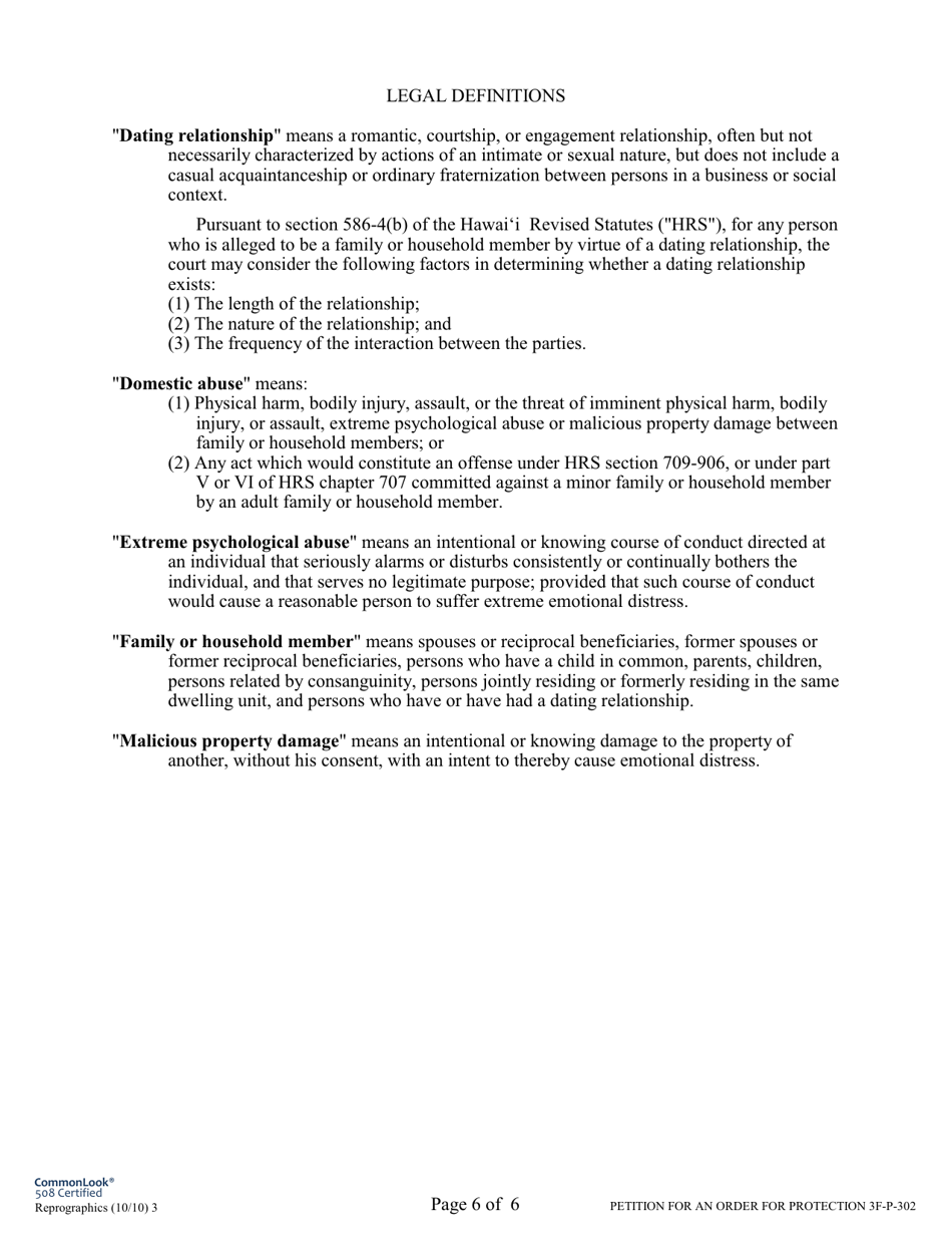
A: Form 3F-P-302 is a petition for an Order for Protection in Hawaii.

Q: What is an Order for Protection?
A: An Order for Protection is a legal document issued by the court to protect a person from harm or harassment.

Q: Who can file Form 3F-P-302?
A: The petitioner, who is seeking protection, can file Form 3F-P-302.

Q: What are the requirements for filing Form 3F-P-302?
A: The petitioner must provide information about the respondent, details of the alleged abuse or harassment, and reasons for requesting the order.

Q: How long does an Order for Protection last?
A: An Order for Protection can last for a specific period of time, usually up to one year, but can be extended if necessary.

Q: What happens after filing Form 3F-P-302?
A: The court will review the petition and may schedule a hearing to determine whether to grant the Order for Protection.

Q: What can an Order for Protection do?
A: An Order for Protection can provide various protections, such as prohibiting the respondent from contacting or approaching the petitioner, granting temporary custody of children, or ordering the respondent to attend counseling.

Q: What if the respondent violates the Order for Protection?
A: If the respondent violates the Order for Protection, the petitioner can report it to the police, and the respondent may face legal consequences.

Q: Do I need a lawyer to file Form 3F-P-302?
A: While it is not required to have a lawyer, it is advisable to seek legal advice and assistance, especially if there are complex legal issues involved.

Q: Is there a fee for filing Form 3F-P-302?
A: There may be a filing fee associated with submitting Form 3F-P-302, but fee waivers are available for those who cannot afford to pay.

Q: Can I get a copy of the Order for Protection?
A: Yes, you can request a copy of the Order for Protection from the court clerk.

Q: Can I modify or terminate an existing Order for Protection?
A: Yes, it is possible to modify or terminate an existing Order for Protection by filing the appropriate forms with the court and providing valid reasons.

Q: What other resources are available for victims of domestic violence?
A: There are various resources available, such as domestic violence hotlines, shelters, and support groups. Contact local organizations or law enforcement for assistance.

Q: What if I need immediate protection?
A: If you are in immediate danger, contact the police or emergency services right away.

Q: What if I have more questions?
A: If you have more questions, it is recommended to consult with an attorney or reach out to a legal aid organization for guidance specific to your situation.

ADVERTISEMENT

Form Details:

  • Released on October 1, 2010;
  • The latest edition provided by the Hawaii Family Court;
  • Easy to use and ready to print;
  • Quick to customize;
  • Compatible with most PDF-viewing applications;
  • Fill out the form in our online filing application.

Download a fillable version of Form 3F-P-302 by clicking the link below or browse more documents and templates provided by the Hawaii Family Court.

Download Form 3F-P-302 Petition for an Order for Protection - Hawaii

4.5 of 5 (68 votes)
  • Form 3F-P-302 Petition for an Order for Protection - Hawaii

    1

  • Form 3F-P-302 Petition for an Order for Protection - Hawaii, Page 2

    2

  • Form 3F-P-302 Petition for an Order for Protection - Hawaii, Page 3

    3

  • Form 3F-P-302 Petition for an Order for Protection - Hawaii, Page 4

    4

  • Form 3F-P-302 Petition for an Order for Protection - Hawaii, Page 5

    5

  • Form 3F-P-302 Petition for an Order for Protection - Hawaii, Page 6

    6

  • Form 3F-P-302 Petition for an Order for Protection - Hawaii, Page 1
  • Form 3F-P-302 Petition for an Order for Protection - Hawaii, Page 2
  • Form 3F-P-302 Petition for an Order for Protection - Hawaii, Page 3
  • Form 3F-P-302 Petition for an Order for Protection - Hawaii, Page 4
  • Form 3F-P-302 Petition for an Order for Protection - Hawaii, Page 5
  • Form 3F-P-302 Petition for an Order for Protection - Hawaii, Page 6
Prev 1 2 3 4 5 6 Next
ADVERTISEMENT

Related Documents