Conversion of a Domestic Entity - Professional Association to Professional Corporation - Alabama

Conversion of a Domestic Entity - Professional Association to Professional Corporation - Alabama

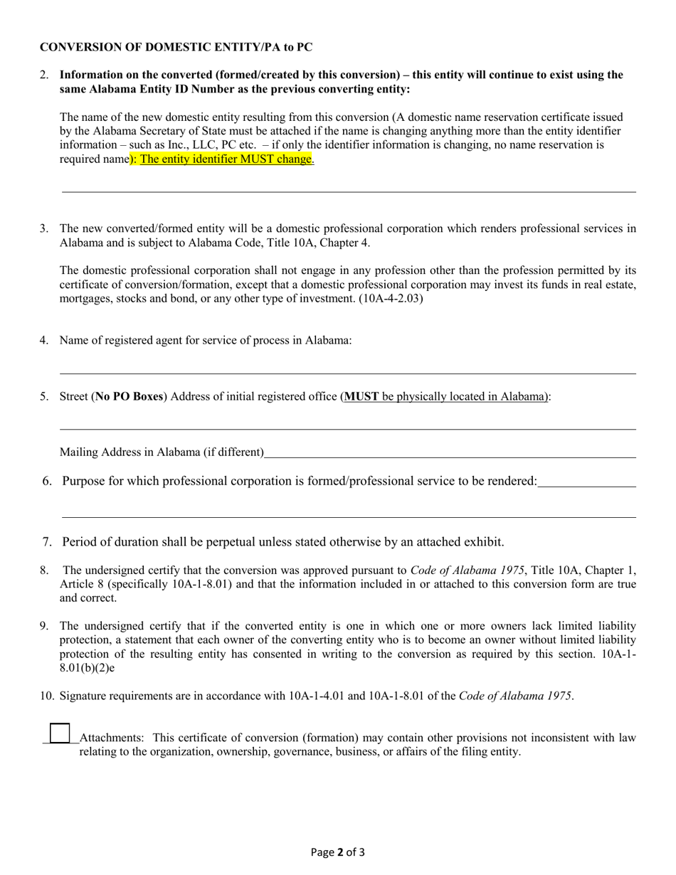
Conversion of a Domestic Entity - Professional Association to Professional Corporation is a legal document that was released by the Alabama Secretary of State - a government authority operating within Alabama.

FAQ

Q: How do I convert a Professional Association to a Professional Corporation in Alabama?
A: To convert a Professional Association (PA) to a Professional Corporation (PC) in Alabama, you must file the appropriate form with the Alabama Secretary of State.

Q: What form do I need to file to convert a Professional Association to a Professional Corporation in Alabama?
A: You need to file Form PC-02, which is the Conversion of a Professional Association to a Professional Corporation form.

Q: Are there any additional requirements for converting a Professional Association to a Professional Corporation in Alabama?
A: Yes, along with the conversion form, you may need to submit a certified copy of the current PA's Certificate of Existence/Registration, a certificate of good standing from the Alabama State Board of Public Accountancy, and written consent from each licensed individual within the PA.

ADVERTISEMENT

Form Details:

  • Released on January 1, 2020;
  • The latest edition currently provided by the Alabama Secretary of State;
  • Ready to use and print;
  • Easy to customize;
  • Compatible with most PDF-viewing applications;
  • Fill out the form in our online filing application.

Download a fillable version of the form by clicking the link below or browse more documents and templates provided by the Alabama Secretary of State.

Download Conversion of a Domestic Entity - Professional Association to Professional Corporation - Alabama

4.5 of 5 (20 votes)
  • Conversion of a Domestic Entity - Professional Association to Professional Corporation - Alabama

    1

  • Conversion of a Domestic Entity - Professional Association to Professional Corporation - Alabama, Page 2

    2

  • Conversion of a Domestic Entity - Professional Association to Professional Corporation - Alabama, Page 3

    3

  • Conversion of a Domestic Entity - Professional Association to Professional Corporation - Alabama, Page 4

    4

  • Conversion of a Domestic Entity - Professional Association to Professional Corporation - Alabama, Page 1
  • Conversion of a Domestic Entity - Professional Association to Professional Corporation - Alabama, Page 2
  • Conversion of a Domestic Entity - Professional Association to Professional Corporation - Alabama, Page 3
  • Conversion of a Domestic Entity - Professional Association to Professional Corporation - Alabama, Page 4
Prev 1 2 3 4 Next
ADVERTISEMENT

Related Documents