Arizona Form 140EZ (ADOR10534) Resident Personal Income Tax Return (Ez Form) - Arizona

Notification Icon This version of the form is not currently in use and is provided for reference only. Download this version of Arizona Form 140EZ (ADOR10534) for the current year.

Arizona Form 140EZ (ADOR10534) Resident Personal Income Tax Return (Ez Form) - Arizona

What Is Arizona Form 140EZ (ADOR10534)?

This is a legal form that was released by the Arizona Department of Revenue - a government authority operating within Arizona. Check the official instructions before completing and submitting the form.

FAQ

Q: What is Arizona Form 140EZ?
A: Arizona Form 140EZ is the Resident Personal Income Tax Return (EZ Form) for Arizona.

Q: Who should file Arizona Form 140EZ?
A: Residents of Arizona who meet certain criteria, such as having a simple tax situation, may use Form 140EZ to file their personal income tax return.

Q: What is the purpose of Arizona Form 140EZ?
A: Arizona Form 140EZ is used to report and pay individual income taxes to the state of Arizona.

Q: What is the deadline for filing Arizona Form 140EZ?
A: The deadline for filing Arizona Form 140EZ is typically April 15th, unless it falls on a weekend or holiday.

Q: Are there any income limits or restrictions for using Arizona Form 140EZ?
A: Yes, there are income limits and other restrictions for using Arizona Form 140EZ. It is important to review the instructions and criteria outlined on the form to determine if you are eligible to use it.

Q: What should I do if I need assistance with Arizona Form 140EZ?
A: If you need assistance with Arizona Form 140EZ, you can contact the Arizona Department of Revenue or consult with a tax professional.

ADVERTISEMENT

Form Details:

  • The latest edition provided by the Arizona Department of Revenue;
  • Easy to use and ready to print;
  • Quick to customize;
  • Compatible with most PDF-viewing applications;
  • Fill out the form in our online filing application.

Download a fillable version of Arizona Form 140EZ (ADOR10534) by clicking the link below or browse more documents and templates provided by the Arizona Department of Revenue.

Download Arizona Form 140EZ (ADOR10534) Resident Personal Income Tax Return (Ez Form) - Arizona

4.8 of 5 (16 votes)
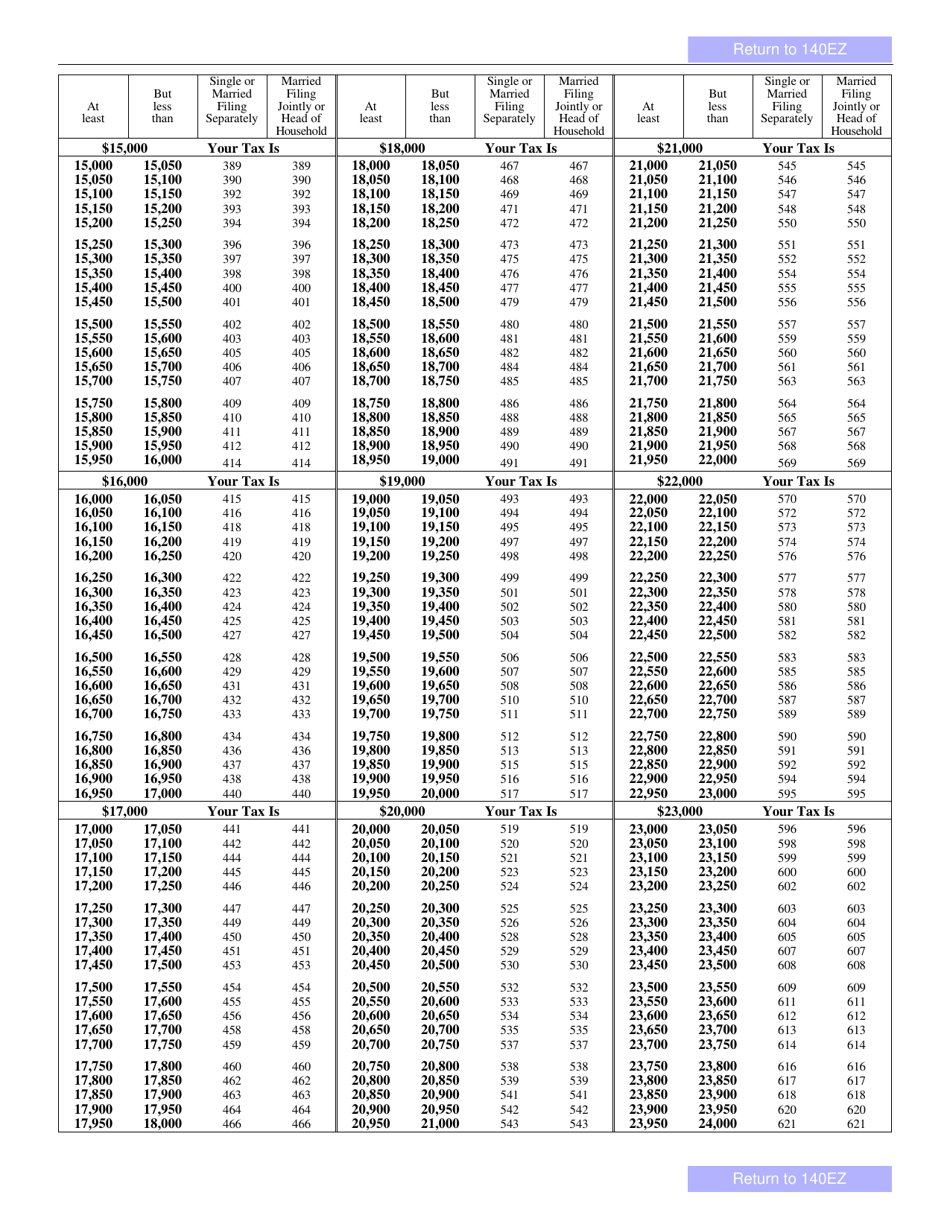
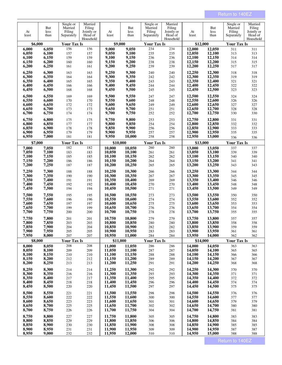
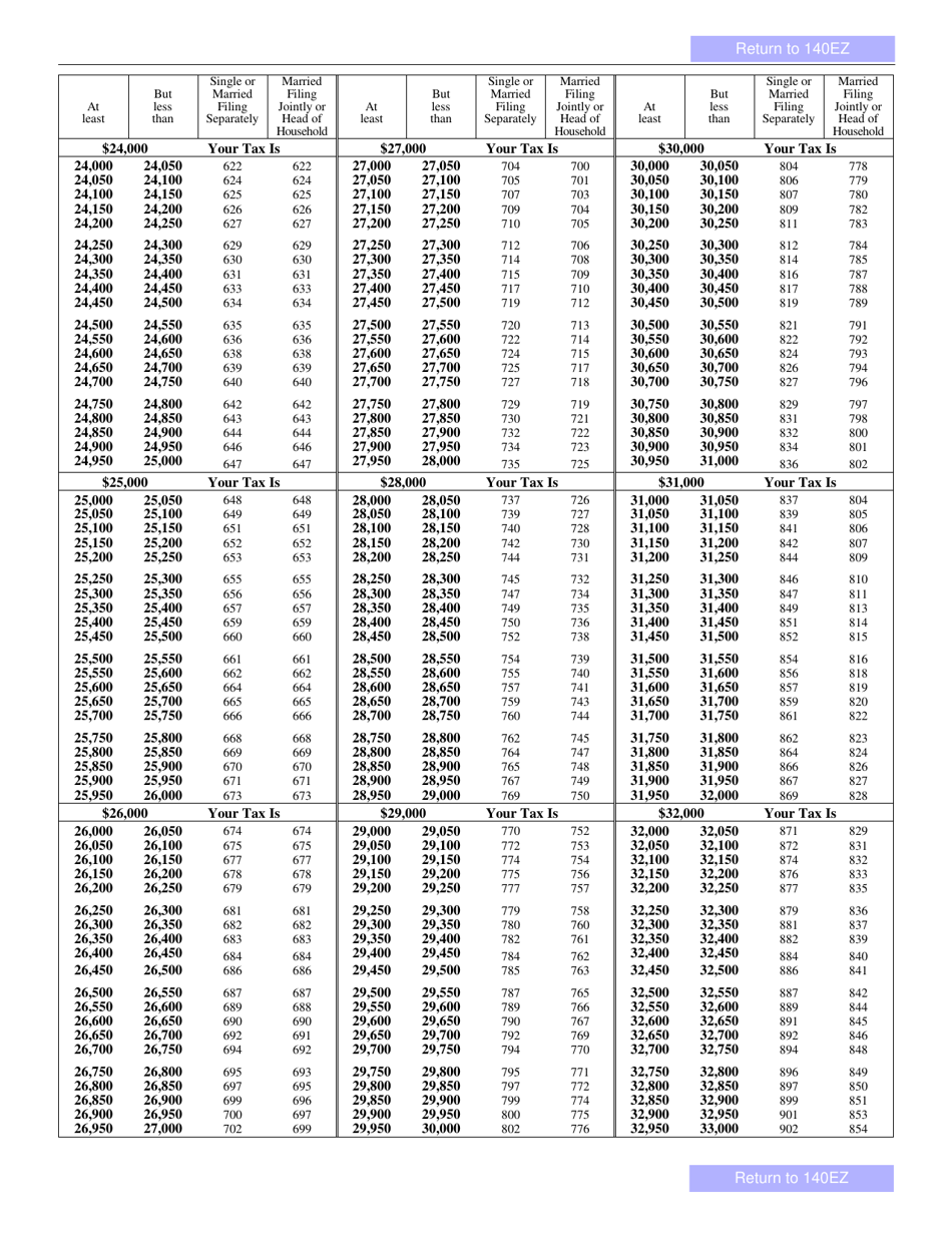
  • Arizona Form 140EZ (ADOR10534) Resident Personal Income Tax Return (Ez Form) - Arizona

    1

  • Arizona Form 140EZ (ADOR10534) Resident Personal Income Tax Return (Ez Form) - Arizona, Page 2

    2

  • Arizona Form 140EZ (ADOR10534) Resident Personal Income Tax Return (Ez Form) - Arizona, Page 3

    3

  • Arizona Form 140EZ (ADOR10534) Resident Personal Income Tax Return (Ez Form) - Arizona, Page 4

    4

  • Arizona Form 140EZ (ADOR10534) Resident Personal Income Tax Return (Ez Form) - Arizona, Page 5

    5

  • Arizona Form 140EZ (ADOR10534) Resident Personal Income Tax Return (Ez Form) - Arizona, Page 6

    6

  • Arizona Form 140EZ (ADOR10534) Resident Personal Income Tax Return (Ez Form) - Arizona, Page 7

    7

  • Arizona Form 140EZ (ADOR10534) Resident Personal Income Tax Return (Ez Form) - Arizona, Page 1
  • Arizona Form 140EZ (ADOR10534) Resident Personal Income Tax Return (Ez Form) - Arizona, Page 2
  • Arizona Form 140EZ (ADOR10534) Resident Personal Income Tax Return (Ez Form) - Arizona, Page 3
  • Arizona Form 140EZ (ADOR10534) Resident Personal Income Tax Return (Ez Form) - Arizona, Page 4
  • Arizona Form 140EZ (ADOR10534) Resident Personal Income Tax Return (Ez Form) - Arizona, Page 5
  • Arizona Form 140EZ (ADOR10534) Resident Personal Income Tax Return (Ez Form) - Arizona, Page 6
  • Arizona Form 140EZ (ADOR10534) Resident Personal Income Tax Return (Ez Form) - Arizona, Page 7
Prev 1 2 3 4 5 ... 7 Next
ADVERTISEMENT