Form ED185 Application for Five-Year Renewable Coaching Permit - Connecticut

Notification Icon This version of the form is not currently in use and is provided for reference only. Download this version of Form ED185 for the current year.

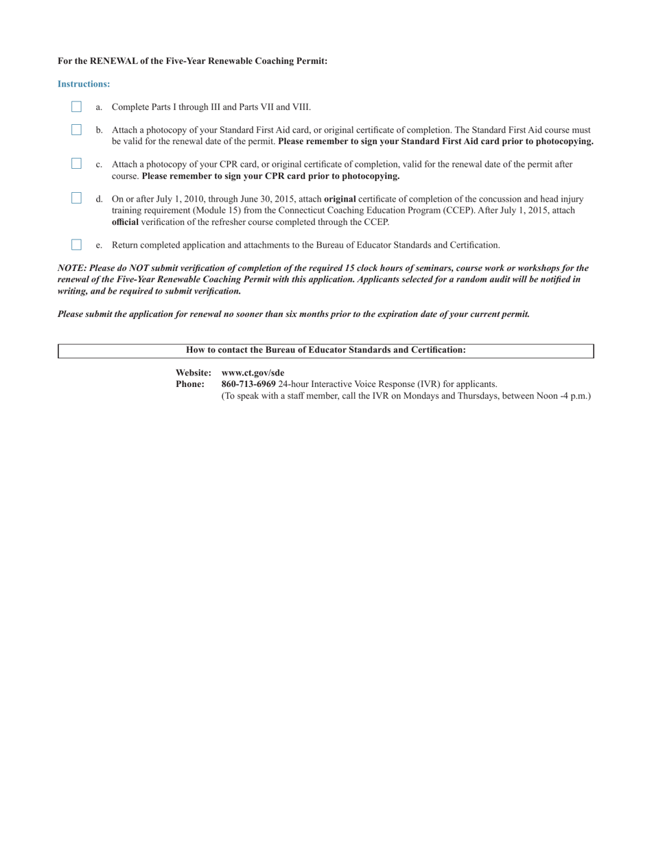
Form ED185 Application for Five-Year Renewable Coaching Permit - Connecticut

What Is Form ED185?

This is a legal form that was released by the Connecticut State Department of Education - a government authority operating within Connecticut. As of today, no separate filing guidelines for the form are provided by the issuing department.

FAQ

Q: What is Form ED185?
A: Form ED185 is the application for a Five-Year Renewable Coaching Permit in Connecticut.

Q: What is a Five-Year Renewable Coaching Permit?
A: A Five-Year Renewable Coaching Permit is a permit that allows individuals to work as coaches in Connecticut for a period of five years and can be renewed.

Q: Who needs to complete Form ED185?
A: Anyone who wants to apply for a Five-Year Renewable Coaching Permit in Connecticut needs to complete Form ED185.

ADVERTISEMENT

Form Details:

  • Released on September 1, 2019;
  • The latest edition provided by the Connecticut State Department of Education;
  • Easy to use and ready to print;
  • Quick to customize;
  • Compatible with most PDF-viewing applications;
  • Fill out the form in our online filing application.

Download a printable version of Form ED185 by clicking the link below or browse more documents and templates provided by the Connecticut State Department of Education.

Download Form ED185 Application for Five-Year Renewable Coaching Permit - Connecticut

4.7 of 5 (11 votes)
  • Form ED185 Application for Five-Year Renewable Coaching Permit - Connecticut

    1

  • Form ED185 Application for Five-Year Renewable Coaching Permit - Connecticut, Page 2

    2

  • Form ED185 Application for Five-Year Renewable Coaching Permit - Connecticut, Page 3

    3

  • Form ED185 Application for Five-Year Renewable Coaching Permit - Connecticut, Page 4

    4

  • Form ED185 Application for Five-Year Renewable Coaching Permit - Connecticut, Page 1
  • Form ED185 Application for Five-Year Renewable Coaching Permit - Connecticut, Page 2
  • Form ED185 Application for Five-Year Renewable Coaching Permit - Connecticut, Page 3
  • Form ED185 Application for Five-Year Renewable Coaching Permit - Connecticut, Page 4
Prev 1 2 3 4 Next
ADVERTISEMENT

Related Documents