Form RW13-20 Agreement for the Positive Location of Underground Utilities - California

Notification Icon This version of the form is not currently in use and is provided for reference only. Download this version of Form RW13-20 for the current year.

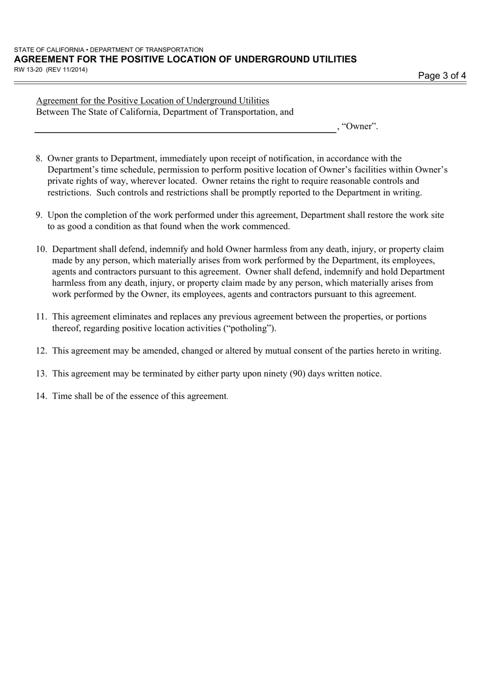
Form RW13-20 Agreement for the Positive Location of Underground Utilities - California

What Is Form RW13-20?

This is a legal form that was released by the California Department of Transportation - a government authority operating within California. As of today, no separate filing guidelines for the form are provided by the issuing department.

FAQ

Q: What is RW13-20 Agreement?
A: RW13-20 Agreement is a document for the positive location of underground utilities in California.

Q: Who is involved in the RW13-20 Agreement?
A: The parties involved in the RW13-20 Agreement are typically the utility owner and the entity performing excavation or construction work near the underground utilities.

Q: What is the purpose of the RW13-20 Agreement?
A: The purpose of the RW13-20 Agreement is to ensure the safe and successful completion of excavation or construction work near underground utilities by establishing clear guidelines and responsibilities for all parties involved.

Q: Why is it important to locate underground utilities?
A: Locating underground utilities is important to prevent accidental damage during excavation or construction activities, which can lead to utility disruptions, injuries, and costly repairs.

Q: Is the RW13-20 Agreement specific to California?
A: Yes, the RW13-20 Agreement is specific to California as it is governed by the regulations and requirements of the California Public Utilities Commission (CPUC).

ADVERTISEMENT

Form Details:

  • Released on November 1, 2014;
  • The latest edition provided by the California Department of Transportation;
  • Easy to use and ready to print;
  • Quick to customize;
  • Compatible with most PDF-viewing applications;
  • Fill out the form in our online filing application.

Download a fillable version of Form RW13-20 by clicking the link below or browse more documents and templates provided by the California Department of Transportation.

Download Form RW13-20 Agreement for the Positive Location of Underground Utilities - California

4.8 of 5 (24 votes)
  • Form RW13-20 Agreement for the Positive Location of Underground Utilities - California

    1

  • Form RW13-20 Agreement for the Positive Location of Underground Utilities - California, Page 2

    2

  • Form RW13-20 Agreement for the Positive Location of Underground Utilities - California, Page 3

    3

  • Form RW13-20 Agreement for the Positive Location of Underground Utilities - California, Page 4

    4

  • Form RW13-20 Agreement for the Positive Location of Underground Utilities - California, Page 1
  • Form RW13-20 Agreement for the Positive Location of Underground Utilities - California, Page 2
  • Form RW13-20 Agreement for the Positive Location of Underground Utilities - California, Page 3
  • Form RW13-20 Agreement for the Positive Location of Underground Utilities - California, Page 4
Prev 1 2 3 4 Next
ADVERTISEMENT

Related Documents