Form PQ-7 Permit Application for Restricted Commodities Into Hawaii - Hawaii

Form PQ-7 Permit Application for Restricted Commodities Into Hawaii - Hawaii

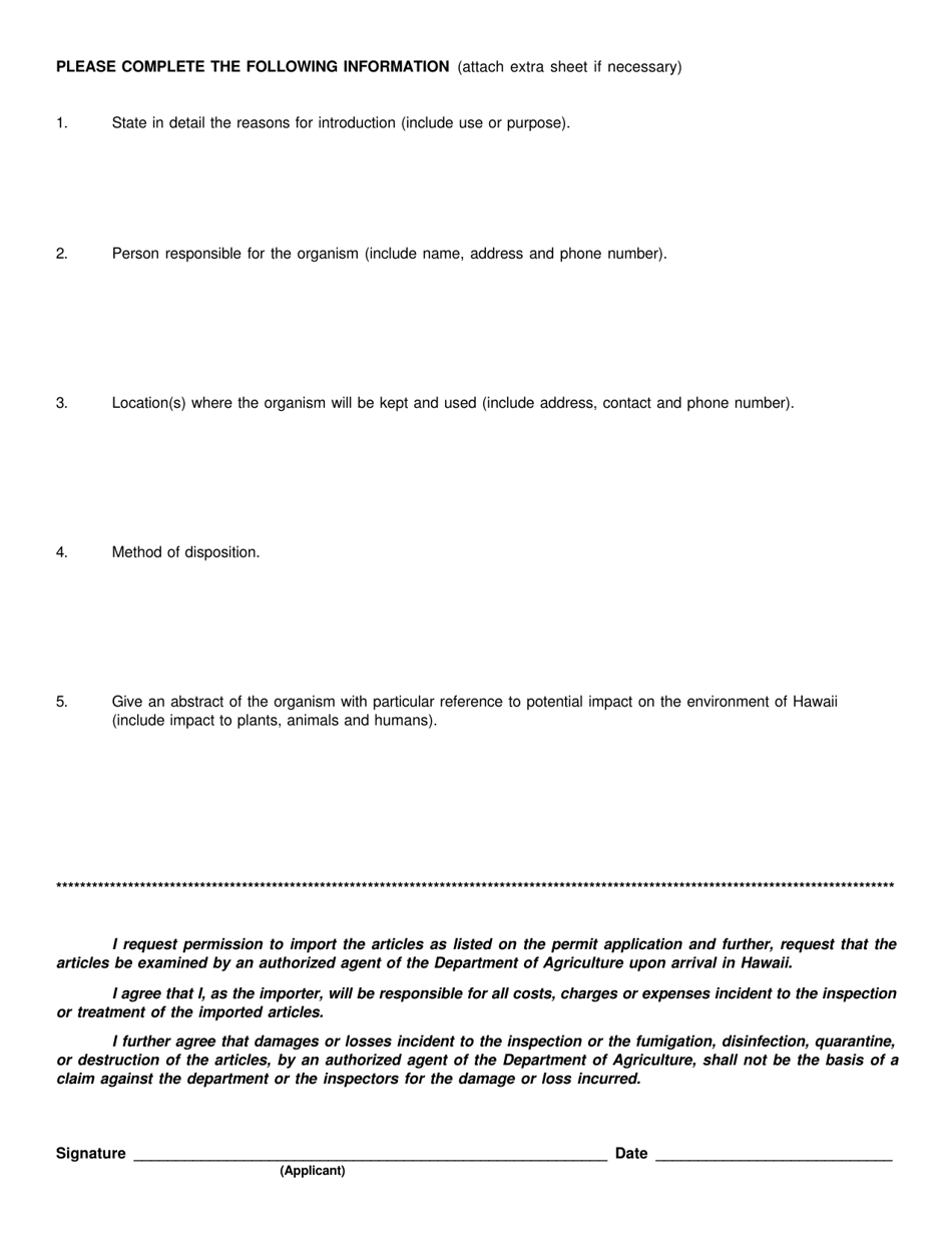
What Is Form PQ-7?

This is a legal form that was released by the Hawaii Department of Agriculture - a government authority operating within Hawaii. As of today, no separate filing guidelines for the form are provided by the issuing department.

FAQ

Q: What is Form PQ-7?
A: Form PQ-7 is a permit application for restricted commodities into Hawaii.

Q: What is the purpose of Form PQ-7?
A: The purpose of Form PQ-7 is to apply for a permit to bring restricted commodities into Hawaii.

Q: What are restricted commodities?
A: Restricted commodities are items that require a permit to be brought into Hawaii.

Q: Who needs to fill out Form PQ-7?
A: Anyone who wants to bring restricted commodities into Hawaii needs to fill out Form PQ-7.

Q: Are there any fees associated with Form PQ-7?
A: Yes, there are fees associated with Form PQ-7. The fee amount depends on the type and quantity of the restricted commodities being imported.

Q: How long does it take to process Form PQ-7?
A: The processing time for Form PQ-7 varies, but it can take up to several weeks.

Q: What happens if my Form PQ-7 application is approved?
A: If your Form PQ-7 application is approved, you will receive a permit to bring the restricted commodities into Hawaii.

Q: What happens if my Form PQ-7 application is denied?
A: If your Form PQ-7 application is denied, you will not be able to bring the restricted commodities into Hawaii.

ADVERTISEMENT

Form Details:

  • Released on January 1, 2004;
  • The latest edition provided by the Hawaii Department of Agriculture;
  • Easy to use and ready to print;
  • Quick to customize;
  • Compatible with most PDF-viewing applications;
  • Fill out the form in our online filing application.

Download a fillable version of Form PQ-7 by clicking the link below or browse more documents and templates provided by the Hawaii Department of Agriculture.

Download Form PQ-7 Permit Application for Restricted Commodities Into Hawaii - Hawaii

4.7 of 5 (27 votes)
  • Form PQ-7 Permit Application for Restricted Commodities Into Hawaii - Hawaii

    1

  • Form PQ-7 Permit Application for Restricted Commodities Into Hawaii - Hawaii, Page 2

    2

  • Form PQ-7 Permit Application for Restricted Commodities Into Hawaii - Hawaii, Page 1
  • Form PQ-7 Permit Application for Restricted Commodities Into Hawaii - Hawaii, Page 2
Prev 1 2 Next
ADVERTISEMENT

Related Documents