Form BoBS2832 Periodic Reporting - Illinois

Notification Icon This version of the form is not currently in use and is provided for reference only. Download this version of Form BoBS2832 for the current year.

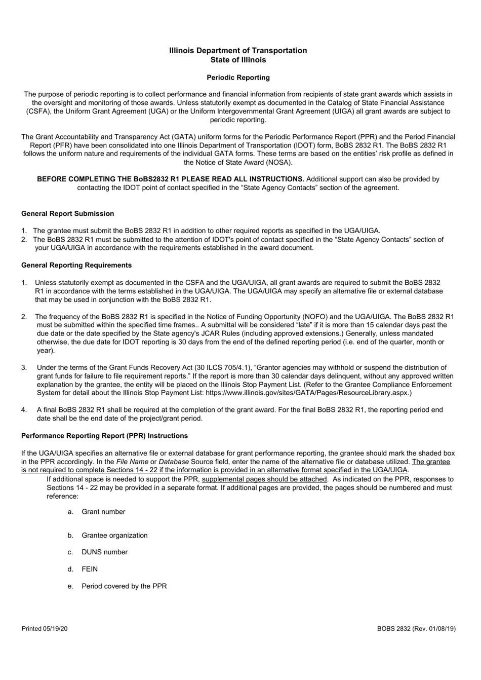
Form BoBS2832 Periodic Reporting - Illinois

What Is Form BoBS2832?

This is a legal form that was released by the Illinois Department of Transportation - a government authority operating within Illinois. As of today, no separate filing guidelines for the form are provided by the issuing department.

FAQ

Q: What is BoBS2832 Periodic Reporting?
A: BoBS2832 Periodic Reporting is a reporting form used by Illinois for reporting periodic financial information.

Q: Who is required to complete BoBS2832 Periodic Reporting?
A: Government agencies and entities in Illinois are required to complete BoBS2832 Periodic Reporting.

Q: What kind of financial information is reported in BoBS2832 Periodic Reporting?
A: BoBS2832 Periodic Reporting typically includes information about revenues, expenses, assets, liabilities, and fund balances.

Q: How often is BoBS2832 Periodic Reporting done?
A: BoBS2832 Periodic Reporting is typically done on a quarterly basis.

ADVERTISEMENT

Form Details:

  • Released on January 8, 2019;
  • The latest edition provided by the Illinois Department of Transportation;
  • Easy to use and ready to print;
  • Quick to customize;
  • Compatible with most PDF-viewing applications;
  • Fill out the form in our online filing application.

Download a fillable version of Form BoBS2832 by clicking the link below or browse more documents and templates provided by the Illinois Department of Transportation.

Download Form BoBS2832 Periodic Reporting - Illinois

4.3 of 5 (33 votes)
  • Form BoBS2832 Periodic Reporting - Illinois

    1

  • Form BoBS2832 Periodic Reporting - Illinois, Page 2

    2

  • Form BoBS2832 Periodic Reporting - Illinois, Page 3

    3

  • Form BoBS2832 Periodic Reporting - Illinois, Page 4

    4

  • Form BoBS2832 Periodic Reporting - Illinois, Page 5

    5

  • Form BoBS2832 Periodic Reporting - Illinois, Page 6

    6

  • Form BoBS2832 Periodic Reporting - Illinois, Page 7

    7

  • Form BoBS2832 Periodic Reporting - Illinois, Page 8

    8

  • Form BoBS2832 Periodic Reporting - Illinois, Page 9

    9

  • Form BoBS2832 Periodic Reporting - Illinois, Page 1
  • Form BoBS2832 Periodic Reporting - Illinois, Page 2
  • Form BoBS2832 Periodic Reporting - Illinois, Page 3
  • Form BoBS2832 Periodic Reporting - Illinois, Page 4
  • Form BoBS2832 Periodic Reporting - Illinois, Page 5
  • Form BoBS2832 Periodic Reporting - Illinois, Page 6
  • Form BoBS2832 Periodic Reporting - Illinois, Page 7
  • Form BoBS2832 Periodic Reporting - Illinois, Page 8
  • Form BoBS2832 Periodic Reporting - Illinois, Page 9
Prev 1 2 3 4 5 ... 9 Next
ADVERTISEMENT