DNR Form 542-0591 Registration for Stationary Spark Ignition Internal Combustion Engines Less Than 400 Brake Horsepower - Iowa

Notification Icon This version of the form is not currently in use and is provided for reference only. Download this version of DNR Form 542-0591 for the current year.

DNR Form 542-0591 Registration for Stationary Spark Ignition Internal Combustion Engines Less Than 400 Brake Horsepower - Iowa

What Is DNR Form 542-0591?

This is a legal form that was released by the Iowa Department of Natural Resources - a government authority operating within Iowa. As of today, no separate filing guidelines for the form are provided by the issuing department.

FAQ

Q: What is DNR Form 542-0591?
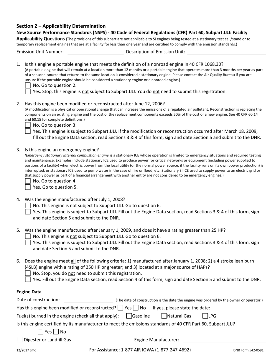
A: DNR Form 542-0591 is the registration form for stationary spark ignitioninternal combustion engines with less than 400 brake horsepower in Iowa.

Q: What does the form apply to?
A: The form applies to stationary spark ignition internal combustion engines with less than 400 brake horsepower.

Q: What is the purpose of this form?
A: The purpose of this form is to register and regulate stationary spark ignition internal combustion engines in Iowa.

Q: Who needs to complete this form?
A: Anyone owning or operating a stationary spark ignition internal combustion engine with less than 400 brake horsepower in Iowa needs to complete this form.

Q: Is this form required by law?
A: Yes, it is required by law to register stationary spark ignition internal combustion engines in Iowa.

Q: Are there any fees associated with this form?
A: There may be fees associated with the registration of these engines, as determined by the Iowa DNR.

Q: When should this form be submitted?
A: This form should be submitted prior to operating a stationary spark ignition internal combustion engine in Iowa.

Q: What other requirements are there for these engines?
A: In addition to registration, these engines may be subject to emissions control requirements and periodic inspections.

Q: Who can I contact for more information?
A: For more information, you can contact the Iowa Department of Natural Resources (DNR) or refer to the instructions provided with the form.

ADVERTISEMENT

Form Details:

  • Released on December 1, 2017;
  • The latest edition provided by the Iowa Department of Natural Resources;
  • Easy to use and ready to print;
  • Quick to customize;
  • Compatible with most PDF-viewing applications;
  • Fill out the form in our online filing application.

Download a fillable version of DNR Form 542-0591 by clicking the link below or browse more documents and templates provided by the Iowa Department of Natural Resources.

Download DNR Form 542-0591 Registration for Stationary Spark Ignition Internal Combustion Engines Less Than 400 Brake Horsepower - Iowa

4.7 of 5 (23 votes)
  • DNR Form 542-0591 Registration for Stationary Spark Ignition Internal Combustion Engines Less Than 400 Brake Horsepower - Iowa

    1

  • DNR Form 542-0591 Registration for Stationary Spark Ignition Internal Combustion Engines Less Than 400 Brake Horsepower - Iowa, Page 2

    2

  • DNR Form 542-0591 Registration for Stationary Spark Ignition Internal Combustion Engines Less Than 400 Brake Horsepower - Iowa, Page 3

    3

  • DNR Form 542-0591 Registration for Stationary Spark Ignition Internal Combustion Engines Less Than 400 Brake Horsepower - Iowa, Page 4

    4

  • DNR Form 542-0591 Registration for Stationary Spark Ignition Internal Combustion Engines Less Than 400 Brake Horsepower - Iowa, Page 5

    5

  • DNR Form 542-0591 Registration for Stationary Spark Ignition Internal Combustion Engines Less Than 400 Brake Horsepower - Iowa, Page 6

    6

  • DNR Form 542-0591 Registration for Stationary Spark Ignition Internal Combustion Engines Less Than 400 Brake Horsepower - Iowa, Page 7

    7

  • DNR Form 542-0591 Registration for Stationary Spark Ignition Internal Combustion Engines Less Than 400 Brake Horsepower - Iowa, Page 1
  • DNR Form 542-0591 Registration for Stationary Spark Ignition Internal Combustion Engines Less Than 400 Brake Horsepower - Iowa, Page 2
  • DNR Form 542-0591 Registration for Stationary Spark Ignition Internal Combustion Engines Less Than 400 Brake Horsepower - Iowa, Page 3
  • DNR Form 542-0591 Registration for Stationary Spark Ignition Internal Combustion Engines Less Than 400 Brake Horsepower - Iowa, Page 4
  • DNR Form 542-0591 Registration for Stationary Spark Ignition Internal Combustion Engines Less Than 400 Brake Horsepower - Iowa, Page 5
  • DNR Form 542-0591 Registration for Stationary Spark Ignition Internal Combustion Engines Less Than 400 Brake Horsepower - Iowa, Page 6
  • DNR Form 542-0591 Registration for Stationary Spark Ignition Internal Combustion Engines Less Than 400 Brake Horsepower - Iowa, Page 7
Prev 1 2 3 4 5 ... 7 Next
ADVERTISEMENT