Instructions for Form CCL.801 Application for a School Age Drop-In Program - Kansas

Notification Icon This version of the form is not currently in use and is provided for reference only. Download this version of Instructions for Form CCL.801 for the current year.

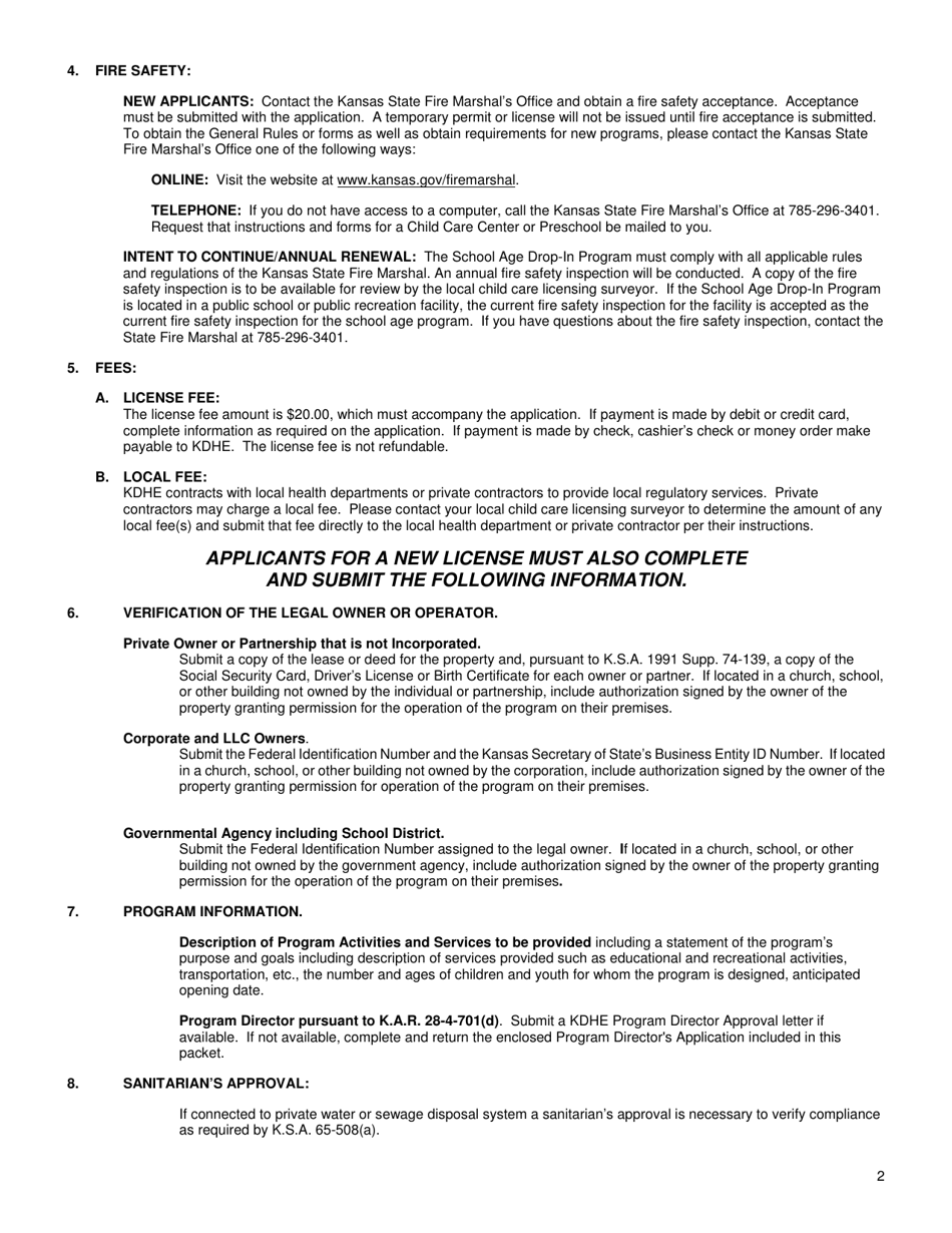
Instructions for Form CCL.801 Application for a School Age Drop-In Program - Kansas

This document contains official instructions for Form CCL.801 , Application for a School Age Drop-In Program - a form released and collected by the Kansas Department of Health & Environment. An up-to-date fillable Form CCL.801 is available for download through this link.

FAQ

Q: What is Form CCL.801?
A: Form CCL.801 is an application for a School Age Drop-In Program in Kansas.

Q: What is a School Age Drop-In Program?
A: A School Age Drop-In Program is a program that offers care for school-age children on a drop-in basis.

Q: Who needs to fill out Form CCL.801?
A: Anyone who wants to operate a School Age Drop-In Program in Kansas needs to fill out Form CCL.801.

Q: What information is required in Form CCL.801?
A: Form CCL.801 requires information such as the name and address of the program, the hours of operation, the total number of children that can be accommodated, and the qualifications of the staff.

Q: How long does it take to process Form CCL.801?
A: The processing time for Form CCL.801 can vary. It is recommended to submit the application well in advance to allow for processing time.

Q: What happens after Form CCL.801 is approved?
A: After Form CCL.801 is approved, the program can operate as a School Age Drop-In Program in Kansas.

ADVERTISEMENT

Instruction Details:

  • This 3-page document is available for download in PDF;
  • Actual and applicable for the current year;
  • Complete, printable, and free.

Download your copy of the instructions by clicking the link below or browse hundreds of other forms in our library of forms released by the Kansas Department of Health & Environment.

Download Instructions for Form CCL.801 Application for a School Age Drop-In Program - Kansas

4.6 of 5 (8 votes)
  • Instructions for Form CCL.801 Application for a School Age Drop-In Program - Kansas

    1

  • Instructions for Form CCL.801 Application for a School Age Drop-In Program - Kansas, Page 2

    2

  • Instructions for Form CCL.801 Application for a School Age Drop-In Program - Kansas, Page 3

    3

  • Instructions for Form CCL.801 Application for a School Age Drop-In Program - Kansas, Page 1
  • Instructions for Form CCL.801 Application for a School Age Drop-In Program - Kansas, Page 2
  • Instructions for Form CCL.801 Application for a School Age Drop-In Program - Kansas, Page 3
Prev 1 2 3 Next
ADVERTISEMENT

Related Documents