Form 209 Order Removing Indian Child From Custody of Parent and Authorizing out of Home Placement - Kansas

Form 209 Order Removing Indian Child From Custody of Parent and Authorizing out of Home Placement - Kansas

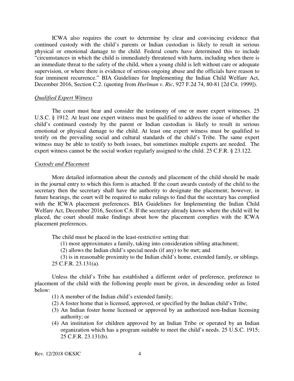
What Is Form 209?

This is a legal form that was released by the Kansas District Courts - a government authority operating within Kansas. As of today, no separate filing guidelines for the form are provided by the issuing department.

FAQ

Q: What is Form 209?
A: Form 209 is a legal document used in Kansas to order the removal of an Indian child from the custody of their parent and authorize an out-of-home placement.

Q: Who uses Form 209?
A: Form 209 is used by the courts and child welfare agencies in Kansas.

Q: What does Form 209 do?
A: Form 209 allows for the removal of an Indian child from their parent's custody and grants authority to place the child in an alternate out-of-home setting.

Q: When is Form 209 used?
A: Form 209 is used in cases involving Indian children where the court determines that it is necessary to remove the child from their parent's custody.

Q: Why is Form 209 used?
A: Form 209 is used to ensure the safety and well-being of an Indian child when their parent's custody is deemed unfit or unsafe.

Q: Can anyone fill out Form 209?
A: No, only authorized individuals such as judges and child welfare professionals can fill out Form 209.

Q: Is Form 209 specific to Kansas?
A: Yes, Form 209 is specific to the state of Kansas.

Q: What happens after Form 209 is filed?
A: After Form 209 is filed, the court will review the case and make a determination regarding the custody and placement of the Indian child.

Q: Are there any fees associated with Form 209?
A: Fees may vary, it is best to check with the court or child welfare agency for specific details on any associated costs.

ADVERTISEMENT

Form Details:

  • Released on December 1, 2018;
  • The latest edition provided by the Kansas District Courts;
  • Easy to use and ready to print;
  • Quick to customize;
  • Compatible with most PDF-viewing applications;
  • Fill out the form in our online filing application.

Download a fillable version of Form 209 by clicking the link below or browse more documents and templates provided by the Kansas District Courts.

Download Form 209 Order Removing Indian Child From Custody of Parent and Authorizing out of Home Placement - Kansas

4.8 of 5 (19 votes)
  • Form 209 Order Removing Indian Child From Custody of Parent and Authorizing out of Home Placement - Kansas

    1

  • Form 209 Order Removing Indian Child From Custody of Parent and Authorizing out of Home Placement - Kansas, Page 2

    2

  • Form 209 Order Removing Indian Child From Custody of Parent and Authorizing out of Home Placement - Kansas, Page 3

    3

  • Form 209 Order Removing Indian Child From Custody of Parent and Authorizing out of Home Placement - Kansas, Page 4

    4

  • Form 209 Order Removing Indian Child From Custody of Parent and Authorizing out of Home Placement - Kansas, Page 5

    5

  • Form 209 Order Removing Indian Child From Custody of Parent and Authorizing out of Home Placement - Kansas, Page 1
  • Form 209 Order Removing Indian Child From Custody of Parent and Authorizing out of Home Placement - Kansas, Page 2
  • Form 209 Order Removing Indian Child From Custody of Parent and Authorizing out of Home Placement - Kansas, Page 3
  • Form 209 Order Removing Indian Child From Custody of Parent and Authorizing out of Home Placement - Kansas, Page 4
  • Form 209 Order Removing Indian Child From Custody of Parent and Authorizing out of Home Placement - Kansas, Page 5
Prev 1 2 3 4 5 Next
ADVERTISEMENT