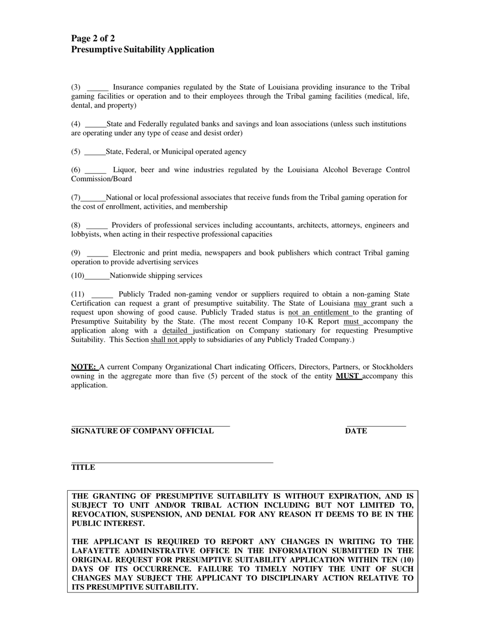
Non-gaming Request for Presumptive Suitability - Louisiana

Notification Icon This version of the form is not currently in use and is provided for reference only. Download this version of the document for the current year.

Non-gaming Request for Presumptive Suitability - Louisiana

Non-gaming Request for Presumptive Suitability is a legal document that was released by the Louisiana Department of Public Safety & Corrections - a government authority operating within Louisiana.

FAQ

Q: What is a non-gaming request for presumptive suitability?
A: A non-gaming request for presumptive suitability is a request made by an individual or entity to be deemed suitable to engage in a non-gaming activity or business in Louisiana.

Q: What does presumptive suitability mean?
A: Presumptive suitability means that an individual or entity is assumed to be suitable to engage in a non-gaming activity or business unless proven otherwise.

Q: What is the purpose of a non-gaming request for presumptive suitability?
A: The purpose of a non-gaming request for presumptive suitability is to streamline the process and provide an efficient way for individuals and entities to engage in non-gaming activities or businesses in Louisiana.

Q: Who can submit a non-gaming request for presumptive suitability?
A: Any individual or entity interested in engaging in a non-gaming activity or business in Louisiana can submit a non-gaming request for presumptive suitability.

Q: What types of non-gaming activities or businesses require presumptive suitability?
A: Examples of non-gaming activities or businesses that may require presumptive suitability include, but are not limited to, operating a hotel, restaurant, or retail establishment near a casino.

Q: What is the process for submitting a non-gaming request for presumptive suitability?
A: The process for submitting a non-gaming request for presumptive suitability may vary, but typically involves filling out an application, providing necessary documentation, and paying any required fees.

Q: How long does it take to receive a decision on a non-gaming request for presumptive suitability?
A: The length of time to receive a decision on a non-gaming request for presumptive suitability can vary, but it is usually within a reasonable timeframe determined by the Louisiana Gaming Control Board.

Q: What happens if a non-gaming request for presumptive suitability is approved?
A: If a non-gaming request for presumptive suitability is approved, the individual or entity is deemed suitable to engage in the specified non-gaming activity or business in Louisiana.

Q: What happens if a non-gaming request for presumptive suitability is denied?
A: If a non-gaming request for presumptive suitability is denied, the individual or entity may have the opportunity to address any issues or concerns raised and resubmit their request for further consideration.

ADVERTISEMENT

Form Details:

  • The latest edition currently provided by the Louisiana Department of Public Safety & Corrections;
  • Ready to use and print;
  • Easy to customize;
  • Compatible with most PDF-viewing applications;
  • Fill out the form in our online filing application.

Download a printable version of the form by clicking the link below or browse more documents and templates provided by the Louisiana Department of Public Safety & Corrections.

Download Non-gaming Request for Presumptive Suitability - Louisiana

4.5 of 5 (26 votes)
  • Non-gaming Request for Presumptive Suitability - Louisiana

    1

  • Non-gaming Request for Presumptive Suitability - Louisiana, Page 2

    2

  • Non-gaming Request for Presumptive Suitability - Louisiana, Page 1
  • Non-gaming Request for Presumptive Suitability - Louisiana, Page 2
Prev 1 2 Next
ADVERTISEMENT