Instructions for Form AFR-232 Nysdec Air Facility Registration Application for Dry Cleaners Using Perchloroethylene and / or Approved Alternative Solvents - New York

Instructions for Form AFR-232 Nysdec Air Facility Registration Application for Dry Cleaners Using Perchloroethylene and / or Approved Alternative Solvents - New York

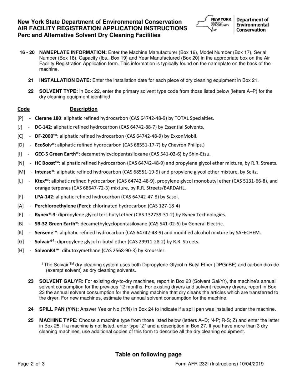
This document contains official instructions for Form AFR-232 , Nysdec Air Facility Registration Application for Dry Cleaners Using Perchloroethylene and/or Approved Alternative Solvents - a form released and collected by the New York State Department of Environmental Conservation. An up-to-date fillable Form AFR-232 is available for download through this link.

FAQ

Q: What is Form AFR-232?
A: Form AFR-232 is a registration application for dry cleaners using perchloroethylene and/or approved alternative solvents in the state of New York.

Q: Who needs to fill out Form AFR-232?
A: Dry cleaners in New York who use perchloroethylene and/or approved alternative solvents need to fill out Form AFR-232.

Q: What is perchloroethylene?
A: Perchloroethylene is a chemical solvent commonly used in dry cleaning.

Q: What are approved alternative solvents?
A: Approved alternative solvents are chemical solvents that can be used as alternatives to perchloroethylene in dry cleaning.

Q: Why is Form AFR-232 required?
A: Form AFR-232 is required to register dry cleaners that use perchloroethylene and/or approved alternative solvents in order to regulate and monitor their operations.

Q: What happens after I submit Form AFR-232?
A: After submitting Form AFR-232, the NYSDEC will review your application and may contact you for further information or inspection.

Q: Do I need to renew my registration?
A: Yes, you need to renew your registration annually. The NYSDEC will provide instructions and deadlines for renewal.

Q: What if there are changes to my facility or operations?
A: If there are changes to your facility or operations, you must notify the NYSDEC and submit an updated Form AFR-232.

ADVERTISEMENT

Instruction Details:

  • This 3-page document is available for download in PDF;
  • Actual and applicable for the current year;
  • Complete, printable, and free.

Download your copy of the instructions by clicking the link below or browse hundreds of other forms in our library of forms released by the New York State Department of Environmental Conservation.

Download Instructions for Form AFR-232 Nysdec Air Facility Registration Application for Dry Cleaners Using Perchloroethylene and / or Approved Alternative Solvents - New York

4.7 of 5 (29 votes)
  • Instructions for Form AFR-232 Nysdec Air Facility Registration Application for Dry Cleaners Using Perchloroethylene and/or Approved Alternative Solvents - New York

    1

  • Instructions for Form AFR-232 Nysdec Air Facility Registration Application for Dry Cleaners Using Perchloroethylene and/or Approved Alternative Solvents - New York, Page 2

    2

  • Instructions for Form AFR-232 Nysdec Air Facility Registration Application for Dry Cleaners Using Perchloroethylene and/or Approved Alternative Solvents - New York, Page 3

    3

  • Instructions for Form AFR-232 Nysdec Air Facility Registration Application for Dry Cleaners Using Perchloroethylene and / or Approved Alternative Solvents - New York, Page 1
  • Instructions for Form AFR-232 Nysdec Air Facility Registration Application for Dry Cleaners Using Perchloroethylene and / or Approved Alternative Solvents - New York, Page 2
  • Instructions for Form AFR-232 Nysdec Air Facility Registration Application for Dry Cleaners Using Perchloroethylene and / or Approved Alternative Solvents - New York, Page 3
Prev 1 2 3 Next
ADVERTISEMENT

Related Documents