Form LS553 Application for a Certificate of Group Eligibility to Employ Child Performers - New York

Form LS553 Application for a Certificate of Group Eligibility to Employ Child Performers - New York

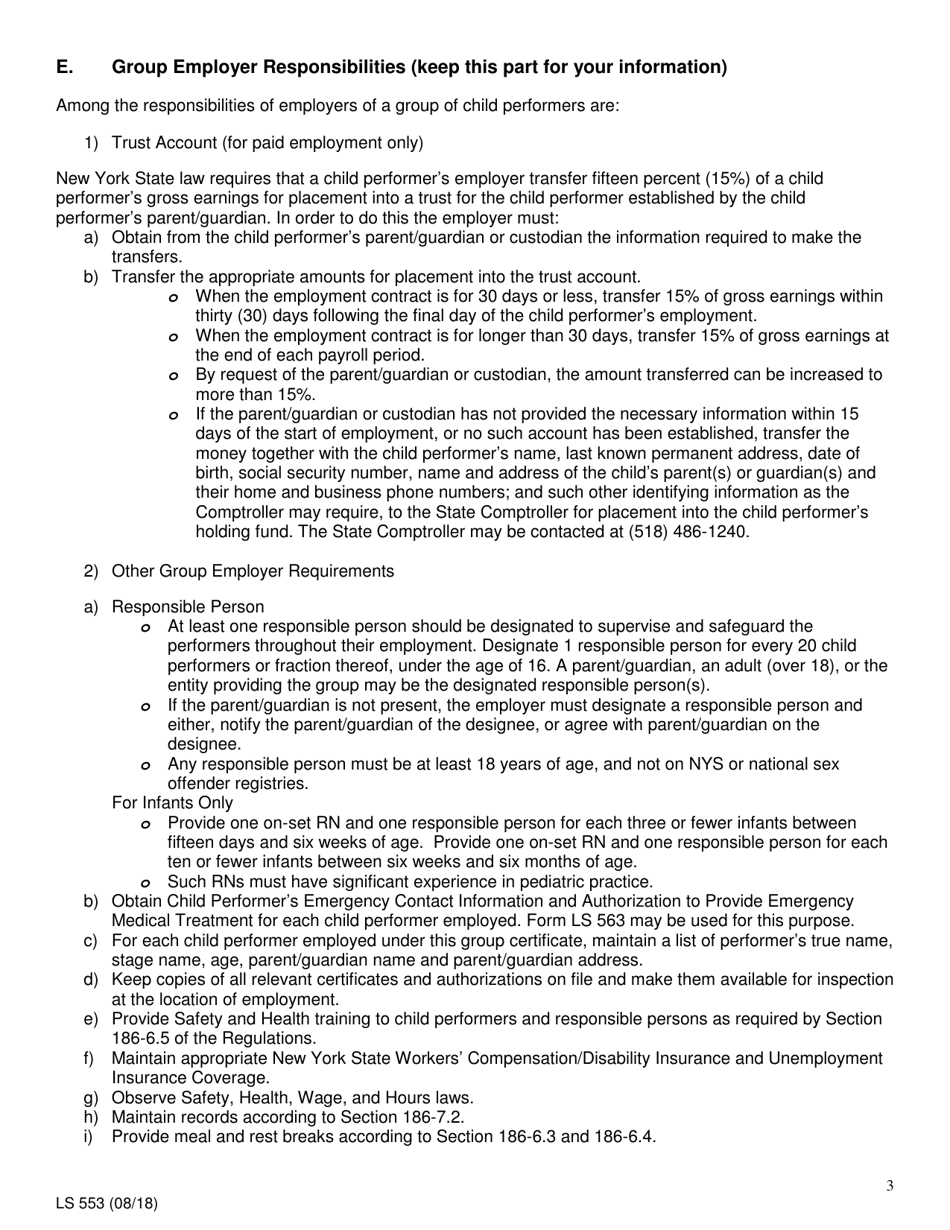
What Is Form LS553?

This is a legal form that was released by the New York State Department of Labor - a government authority operating within New York. As of today, no separate filing guidelines for the form are provided by the issuing department.

FAQ

Q: What is Form LS553?
A: Form LS553 is an application for a Certificate of Group Eligibility to Employ Child Performers in New York.

Q: Who needs to fill out Form LS553?
A: Employers who want to hire child performers in New York need to fill out Form LS553.

Q: What is the purpose of Form LS553?
A: The purpose of Form LS553 is to obtain a Certificate of Group Eligibility, which allows employers to hire child performers.

Q: Are there any fees associated with submitting Form LS553?
A: Yes, there is a fee of $50 per application for Form LS553.

ADVERTISEMENT

Form Details:

  • Released on August 1, 2018;
  • The latest edition provided by the New York State Department of Labor;
  • Easy to use and ready to print;
  • Quick to customize;
  • Compatible with most PDF-viewing applications;
  • Fill out the form in our online filing application.

Download a printable version of Form LS553 by clicking the link below or browse more documents and templates provided by the New York State Department of Labor.

Download Form LS553 Application for a Certificate of Group Eligibility to Employ Child Performers - New York

4.4 of 5 (20 votes)
  • Form LS553 Application for a Certificate of Group Eligibility to Employ Child Performers - New York

    1

  • Form LS553 Application for a Certificate of Group Eligibility to Employ Child Performers - New York, Page 2

    2

  • Form LS553 Application for a Certificate of Group Eligibility to Employ Child Performers - New York, Page 3

    3

  • Form LS553 Application for a Certificate of Group Eligibility to Employ Child Performers - New York, Page 1
  • Form LS553 Application for a Certificate of Group Eligibility to Employ Child Performers - New York, Page 2
  • Form LS553 Application for a Certificate of Group Eligibility to Employ Child Performers - New York, Page 3
Prev 1 2 3 Next
ADVERTISEMENT

Related Documents