Form SH753 Application for Approval of Installation or Device - New York

Form SH753 Application for Approval of Installation or Device - New York

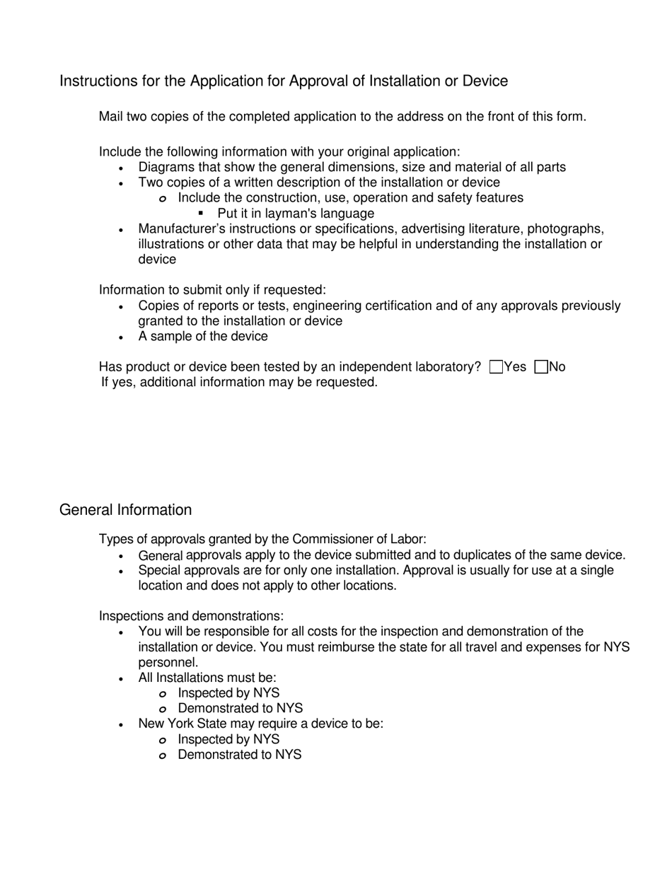
What Is Form SH753?

This is a legal form that was released by the New York State Department of Labor - a government authority operating within New York. As of today, no separate filing guidelines for the form are provided by the issuing department.

FAQ

Q: What is form SH753?
A: Form SH753 is the Application for Approval of Installation or Device in New York.

Q: What is the purpose of form SH753?
A: The purpose of form SH753 is to apply for approval of an installation or device in New York.

Q: What information is required on form SH753?
A: Form SH753 requires information such as the description of the installation or device, the location, and contact information.

Q: Is there a fee for submitting form SH753?
A: There may be a fee associated with submitting form SH753, which will vary depending on the specific circumstances.

Q: How long does it take to process form SH753?
A: The processing time for form SH753 varies depending on the complexity of the installation or device.

Q: Are there any supporting documents required with form SH753?
A: Depending on the nature of the installation or device, additional supporting documents may be required to accompany form SH753.

Q: Who can I contact for more information about form SH753?
A: For more information about form SH753, you can contact the appropriate regulatory agency in New York.

ADVERTISEMENT

Form Details:

  • Released on May 1, 2012;
  • The latest edition provided by the New York State Department of Labor;
  • Easy to use and ready to print;
  • Quick to customize;
  • Compatible with most PDF-viewing applications;
  • Fill out the form in our online filing application.

Download a printable version of Form SH753 by clicking the link below or browse more documents and templates provided by the New York State Department of Labor.

Download Form SH753 Application for Approval of Installation or Device - New York

4.5 of 5 (18 votes)
  • Form SH753 Application for Approval of Installation or Device - New York

    1

  • Form SH753 Application for Approval of Installation or Device - New York, Page 2

    2

  • Form SH753 Application for Approval of Installation or Device - New York, Page 1
  • Form SH753 Application for Approval of Installation or Device - New York, Page 2
Prev 1 2 Next
ADVERTISEMENT

Related Documents