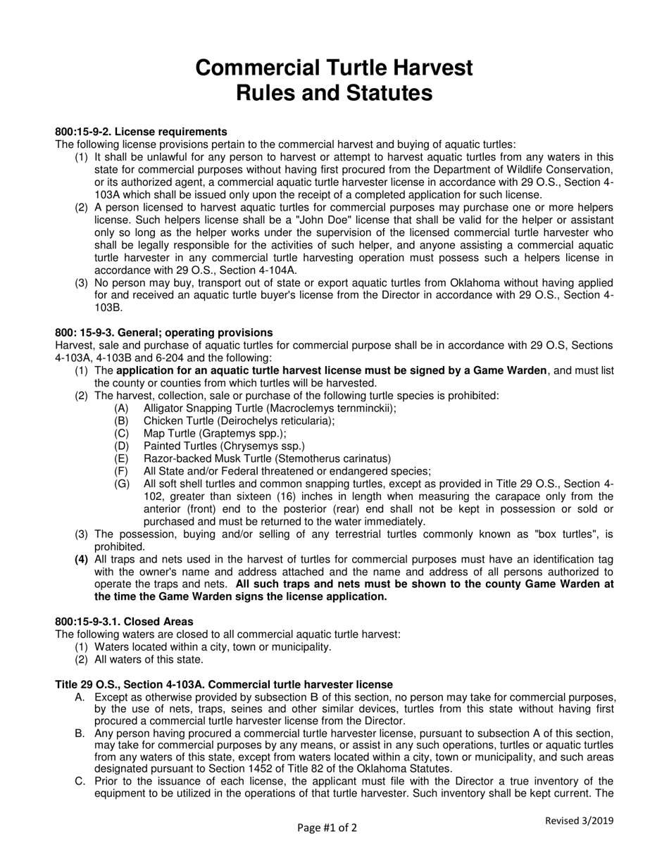
Application for Commercial Aquatic Turtle Harvester License - Oklahoma

Notification Icon This version of the form is not currently in use and is provided for reference only. Download this version of the document for the current year.

Application for Commercial Aquatic Turtle Harvester License - Oklahoma

Application for Commercial Aquatic Turtle Harvester License is a legal document that was released by the Oklahoma Department of Wildlife Conservation - a government authority operating within Oklahoma.

FAQ

Q: What is a Commercial Aquatic Turtle Harvester License?
A: A Commercial Aquatic Turtle Harvester License is a permit that allows individuals to legally harvest and sell aquatic turtles in the state of Oklahoma.

Q: Why do I need a Commercial Aquatic Turtle Harvester License?
A: You need a Commercial Aquatic Turtle Harvester License in order to legally harvest and sell aquatic turtles in Oklahoma.

Q: How can I apply for a Commercial Aquatic Turtle Harvester License?
A: You can apply for a Commercial Aquatic Turtle Harvester License by submitting an application to the Oklahoma Department of Wildlife Conservation.

Q: What are the requirements for obtaining a Commercial Aquatic Turtle Harvester License?
A: The requirements for obtaining a Commercial Aquatic Turtle Harvester License may vary, but generally include having a valid fishing license, completing a training course, and paying the required fees.

Q: How much does a Commercial Aquatic Turtle Harvester License cost?
A: The cost of a Commercial Aquatic Turtle Harvester License may vary, so it is best to check with the Oklahoma Department of Wildlife Conservation for the most up-to-date fee information.

Q: Are there any limitations or restrictions with a Commercial Aquatic Turtle Harvester License?
A: Yes, there are limitations and restrictions with a Commercial Aquatic Turtle Harvester License. These may include limits on the number and size of turtles that can be harvested, as well as specific harvesting seasons and areas.

Q: Can I sell turtles harvested under a Commercial Aquatic Turtle Harvester License to anyone?
A: No, you can only sell turtles harvested under a Commercial Aquatic Turtle Harvester License to licensed dealers or processors.

Q: What happens if I harvest or sell turtles without a Commercial Aquatic Turtle Harvester License?
A: Harvesting or selling turtles without a Commercial Aquatic Turtle Harvester License is illegal and can result in fines and penalties.

Q: How long does a Commercial Aquatic Turtle Harvester License last?
A: The duration of a Commercial Aquatic Turtle Harvester License may vary, but it is typically valid for one year from the date of issuance.

Q: Can I transfer my Commercial Aquatic Turtle Harvester License to someone else?
A: No, a Commercial Aquatic Turtle Harvester License is non-transferable and can only be used by the licensee.

ADVERTISEMENT

Form Details:

  • Released on March 1, 2019;
  • The latest edition currently provided by the Oklahoma Department of Wildlife Conservation;
  • Ready to use and print;
  • Easy to customize;
  • Compatible with most PDF-viewing applications;
  • Fill out the form in our online filing application.

Download a printable version of the form by clicking the link below or browse more documents and templates provided by the Oklahoma Department of Wildlife Conservation.

Download Application for Commercial Aquatic Turtle Harvester License - Oklahoma

4.9 of 5 (7 votes)
  • Application for Commercial Aquatic Turtle Harvester License - Oklahoma

    1

  • Application for Commercial Aquatic Turtle Harvester License - Oklahoma, Page 2

    2

  • Application for Commercial Aquatic Turtle Harvester License - Oklahoma, Page 3

    3

  • Application for Commercial Aquatic Turtle Harvester License - Oklahoma, Page 4

    4

  • Application for Commercial Aquatic Turtle Harvester License - Oklahoma, Page 5

    5

  • Application for Commercial Aquatic Turtle Harvester License - Oklahoma, Page 6

    6

  • Application for Commercial Aquatic Turtle Harvester License - Oklahoma, Page 1
  • Application for Commercial Aquatic Turtle Harvester License - Oklahoma, Page 2
  • Application for Commercial Aquatic Turtle Harvester License - Oklahoma, Page 3
  • Application for Commercial Aquatic Turtle Harvester License - Oklahoma, Page 4
  • Application for Commercial Aquatic Turtle Harvester License - Oklahoma, Page 5
  • Application for Commercial Aquatic Turtle Harvester License - Oklahoma, Page 6
Prev 1 2 3 4 5 6 Next
ADVERTISEMENT