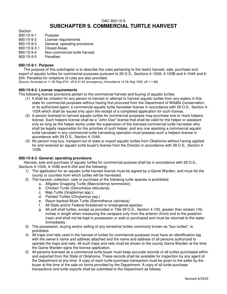
Application for Commercial Aquatic Turtle Buyer License - Oklahoma

Notification Icon This version of the form is not currently in use and is provided for reference only. Download this version of the document for the current year.

Application for Commercial Aquatic Turtle Buyer License - Oklahoma

Application for Commercial Aquatic Turtle Buyer License is a legal document that was released by the Oklahoma Department of Wildlife Conservation - a government authority operating within Oklahoma.

FAQ

Q: What is a Commercial Aquatic Turtle Buyer License?
A: A Commercial Aquatic Turtle Buyer License is a license required to legally engage in the buying and selling of aquatic turtles for commercial purposes in Oklahoma.

Q: Who needs a Commercial Aquatic Turtle Buyer License?
A: Anyone who wants to buy and sell aquatic turtles for commercial purposes in Oklahoma needs a Commercial Aquatic Turtle Buyer License.

Q: How can I apply for a Commercial Aquatic Turtle Buyer License in Oklahoma?
A: You can apply for a Commercial Aquatic Turtle Buyer License in Oklahoma by completing the application form provided by the Oklahoma Department of Wildlife Conservation.

Q: What are the requirements for obtaining a Commercial Aquatic Turtle Buyer License in Oklahoma?
A: The requirements for obtaining a Commercial Aquatic Turtle Buyer License in Oklahoma may include providing proof of residency, payment of applicable fees, and submitting to a background check.

Q: How much does it cost to get a Commercial Aquatic Turtle Buyer License in Oklahoma?
A: The cost of a Commercial Aquatic Turtle Buyer License in Oklahoma may vary. It is best to check with the Oklahoma Department of Wildlife Conservation for the current fee schedule.

Q: How long is a Commercial Aquatic Turtle Buyer License valid in Oklahoma?
A: A Commercial Aquatic Turtle Buyer License in Oklahoma is typically valid for one year. It needs to be renewed annually.

Q: Can I buy and sell aquatic turtles without a Commercial Aquatic Turtle Buyer License in Oklahoma?
A: No, it is illegal to engage in the buying and selling of aquatic turtles for commercial purposes in Oklahoma without a valid Commercial Aquatic Turtle Buyer License.

Q: What is the penalty for buying and selling aquatic turtles without a Commercial Aquatic Turtle Buyer License in Oklahoma?
A: Engaging in the buying and selling of aquatic turtles for commercial purposes without a valid Commercial Aquatic Turtle Buyer License in Oklahoma can result in fines and other legal consequences.

ADVERTISEMENT

Form Details:

  • Released on April 1, 2019;
  • The latest edition currently provided by the Oklahoma Department of Wildlife Conservation;
  • Ready to use and print;
  • Easy to customize;
  • Compatible with most PDF-viewing applications;
  • Fill out the form in our online filing application.

Download a printable version of the form by clicking the link below or browse more documents and templates provided by the Oklahoma Department of Wildlife Conservation.

Download Application for Commercial Aquatic Turtle Buyer License - Oklahoma

4.3 of 5 (21 votes)
  • Application for Commercial Aquatic Turtle Buyer License - Oklahoma

    1

  • Application for Commercial Aquatic Turtle Buyer License - Oklahoma, Page 2

    2

  • Application for Commercial Aquatic Turtle Buyer License - Oklahoma, Page 3

    3

  • Application for Commercial Aquatic Turtle Buyer License - Oklahoma, Page 4

    4

  • Application for Commercial Aquatic Turtle Buyer License - Oklahoma, Page 5

    5

  • Application for Commercial Aquatic Turtle Buyer License - Oklahoma, Page 6

    6

  • Application for Commercial Aquatic Turtle Buyer License - Oklahoma, Page 7

    7

  • Application for Commercial Aquatic Turtle Buyer License - Oklahoma, Page 8

    8

  • Application for Commercial Aquatic Turtle Buyer License - Oklahoma, Page 9

    9

  • Application for Commercial Aquatic Turtle Buyer License - Oklahoma, Page 10

    10

  • Application for Commercial Aquatic Turtle Buyer License - Oklahoma, Page 11

    11

  • Application for Commercial Aquatic Turtle Buyer License - Oklahoma, Page 12

    12

  • Application for Commercial Aquatic Turtle Buyer License - Oklahoma, Page 13

    13

  • Application for Commercial Aquatic Turtle Buyer License - Oklahoma, Page 14

    14

  • Application for Commercial Aquatic Turtle Buyer License - Oklahoma, Page 15

    15

  • Application for Commercial Aquatic Turtle Buyer License - Oklahoma, Page 1
  • Application for Commercial Aquatic Turtle Buyer License - Oklahoma, Page 2
  • Application for Commercial Aquatic Turtle Buyer License - Oklahoma, Page 3
  • Application for Commercial Aquatic Turtle Buyer License - Oklahoma, Page 4
  • Application for Commercial Aquatic Turtle Buyer License - Oklahoma, Page 5
  • Application for Commercial Aquatic Turtle Buyer License - Oklahoma, Page 6
  • Application for Commercial Aquatic Turtle Buyer License - Oklahoma, Page 7
  • Application for Commercial Aquatic Turtle Buyer License - Oklahoma, Page 8
  • Application for Commercial Aquatic Turtle Buyer License - Oklahoma, Page 9
  • Application for Commercial Aquatic Turtle Buyer License - Oklahoma, Page 10
  • Application for Commercial Aquatic Turtle Buyer License - Oklahoma, Page 11
  • Application for Commercial Aquatic Turtle Buyer License - Oklahoma, Page 12
  • Application for Commercial Aquatic Turtle Buyer License - Oklahoma, Page 13
  • Application for Commercial Aquatic Turtle Buyer License - Oklahoma, Page 14
  • Application for Commercial Aquatic Turtle Buyer License - Oklahoma, Page 15
Prev 1 2 3 4 5 ... 15 Next
ADVERTISEMENT

Related Documents