Form RI SI-2A Renewal Application for Approval of Workers' Compensation Self-insurance Program - Rhode Island

Form RI SI-2A Renewal Application for Approval of Workers' Compensation Self-insurance Program - Rhode Island

What Is Form RI SI-2A?

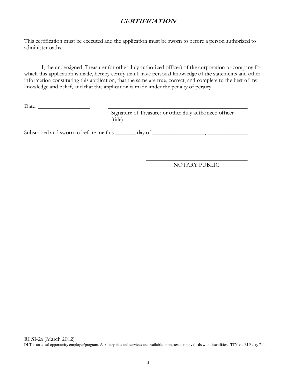
This is a legal form that was released by the Rhode Island Department of Labor and Training - a government authority operating within Rhode Island. As of today, no separate filing guidelines for the form are provided by the issuing department.

FAQ

Q: What is Form RI SI-2A?
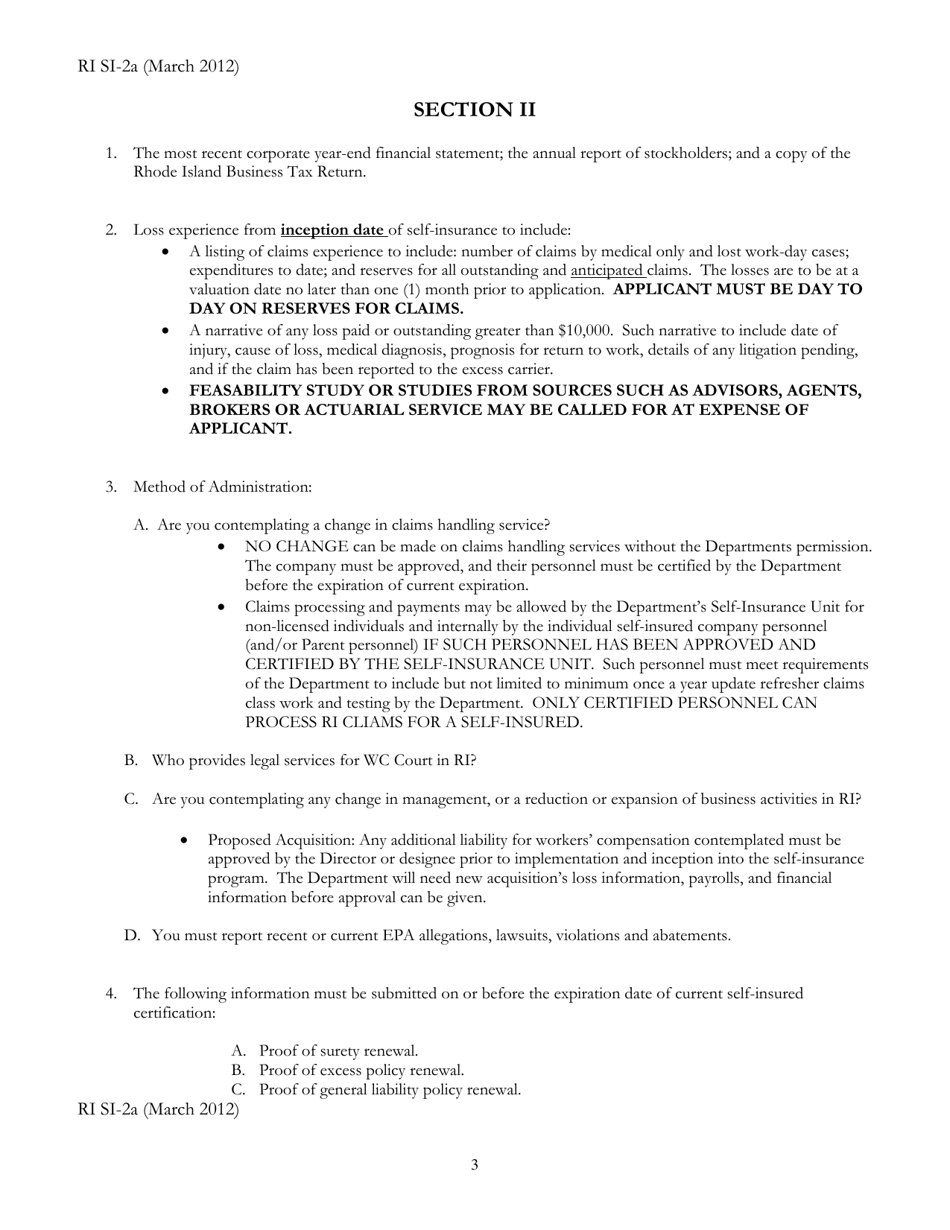
A: Form RI SI-2A is the Renewal Application for Approval of Workers' Compensation Self-insurance Program in Rhode Island.

Q: Who needs to file Form RI SI-2A?
A: Employers in Rhode Island who want to renew their approval for a workers' compensation self-insurance program need to file Form RI SI-2A.

Q: What is a workers' compensation self-insurance program?
A: A workers' compensation self-insurance program is a program where employers choose to manage their own workers' compensation claims instead of obtaining insurance from a traditional insurer.

Q: Why do employers need to renew their approval for a self-insurance program?
A: Employers need to renew their approval to ensure that their self-insurance program continues to meet the requirements set by the Rhode Island Department of Labor and Training.

Q: What information is required in Form RI SI-2A?
A: Form RI SI-2A requires information about the employer, their workers' compensation insurance carrier, financial information, and other details about their self-insurance program.

ADVERTISEMENT

Form Details:

  • Released on March 1, 2012;
  • The latest edition provided by the Rhode Island Department of Labor and Training;
  • Easy to use and ready to print;
  • Quick to customize;
  • Compatible with most PDF-viewing applications;
  • Fill out the form in our online filing application.

Download a fillable version of Form RI SI-2A by clicking the link below or browse more documents and templates provided by the Rhode Island Department of Labor and Training.

Download Form RI SI-2A Renewal Application for Approval of Workers' Compensation Self-insurance Program - Rhode Island

4.3 of 5 (10 votes)
  • Form RI SI-2A Renewal Application for Approval of Workers' Compensation Self-insurance Program - Rhode Island

    1

  • Form RI SI-2A Renewal Application for Approval of Workers' Compensation Self-insurance Program - Rhode Island, Page 2

    2

  • Form RI SI-2A Renewal Application for Approval of Workers' Compensation Self-insurance Program - Rhode Island, Page 3

    3

  • Form RI SI-2A Renewal Application for Approval of Workers' Compensation Self-insurance Program - Rhode Island, Page 4

    4

  • Form RI SI-2A Renewal Application for Approval of Workers Compensation Self-insurance Program - Rhode Island, Page 1
  • Form RI SI-2A Renewal Application for Approval of Workers Compensation Self-insurance Program - Rhode Island, Page 2
  • Form RI SI-2A Renewal Application for Approval of Workers Compensation Self-insurance Program - Rhode Island, Page 3
  • Form RI SI-2A Renewal Application for Approval of Workers Compensation Self-insurance Program - Rhode Island, Page 4
Prev 1 2 3 4 Next
ADVERTISEMENT