DHEC Form 3316 Automatic Line Leak Detector (Lld) Function Check - South Carolina

Notification Icon This version of the form is not currently in use and is provided for reference only. Download this version of DHEC Form 3316 for the current year.

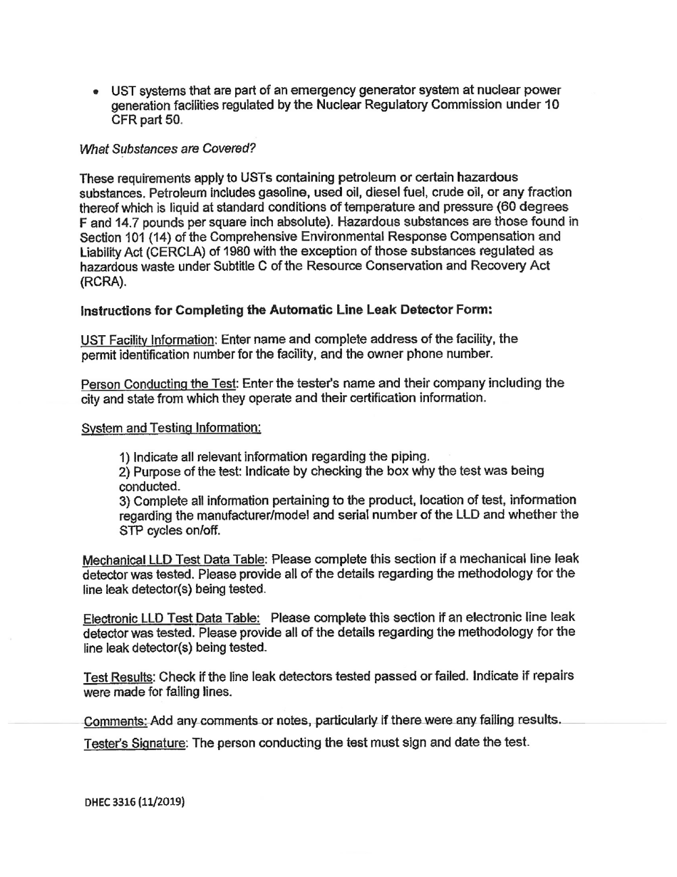
DHEC Form 3316 Automatic Line Leak Detector (Lld) Function Check - South Carolina

What Is DHEC Form 3316?

This is a legal form that was released by the South Carolina Department of Health and Environmental Control - a government authority operating within South Carolina. As of today, no separate filing guidelines for the form are provided by the issuing department.

FAQ

Q: What is Form 3316?
A: Form 3316 is a DHEC form in South Carolina.

Q: What is the purpose of Form 3316?
A: The purpose of Form 3316 is to perform a function check on Automatic Line Leak Detectors (LLD).

Q: What is an Automatic Line Leak Detector (LLD)?
A: An Automatic Line Leak Detector (LLD) is a device used to detect leaks in underground fuel storage tanks and pipes.

Q: Why is a function check necessary for LLDs?
A: A function check ensures that LLDs are working properly and can accurately detect fuel leaks.

Q: Who needs to perform a function check on LLDs?
A: Owners and operators of underground fuel storage tanks are required to perform a function check on LLDs.

Q: How often should a function check be performed on LLDs?
A: A function check should be performed on LLDs at least once every 12 months.

Q: Is there a cost associated with submitting Form 3316?
A: Yes, there is a fee for submitting Form 3316. The fee varies depending on the number of LLDs being checked.

Q: Are there any penalties for not submitting Form 3316?
A: Failure to submit Form 3316 or perform a function check on LLDs can result in fines and penalties.

Q: Is Form 3316 required in other states?
A: Form 3316 is specific to South Carolina. Other states may have similar forms or requirements for LLD function checks.

ADVERTISEMENT

Form Details:

  • Released on November 1, 2019;
  • The latest edition provided by the South Carolina Department of Health and Environmental Control;
  • Easy to use and ready to print;
  • Quick to customize;
  • Compatible with most PDF-viewing applications;
  • Fill out the form in our online filing application.

Download a printable version of DHEC Form 3316 by clicking the link below or browse more documents and templates provided by the South Carolina Department of Health and Environmental Control.

Download DHEC Form 3316 Automatic Line Leak Detector (Lld) Function Check - South Carolina

4.3 of 5 (21 votes)
  • DHEC Form 3316 Automatic Line Leak Detector (Lld) Function Check - South Carolina

    1

  • DHEC Form 3316 Automatic Line Leak Detector (Lld) Function Check - South Carolina, Page 2

    2

  • DHEC Form 3316 Automatic Line Leak Detector (Lld) Function Check - South Carolina, Page 3

    3

  • DHEC Form 3316 Automatic Line Leak Detector (Lld) Function Check - South Carolina, Page 4

    4

  • DHEC Form 3316 Automatic Line Leak Detector (Lld) Function Check - South Carolina, Page 1
  • DHEC Form 3316 Automatic Line Leak Detector (Lld) Function Check - South Carolina, Page 2
  • DHEC Form 3316 Automatic Line Leak Detector (Lld) Function Check - South Carolina, Page 3
  • DHEC Form 3316 Automatic Line Leak Detector (Lld) Function Check - South Carolina, Page 4
Prev 1 2 3 4 Next
ADVERTISEMENT