Form ENLS-651-031 Engineer Law Review Exam - Washington

Form ENLS-651-031 Engineer Law Review Exam - Washington

What Is Form ENLS-651-031?

This is a legal form that was released by the Washington State Department of Licensing - a government authority operating within Washington. As of today, no separate filing guidelines for the form are provided by the issuing department.

FAQ

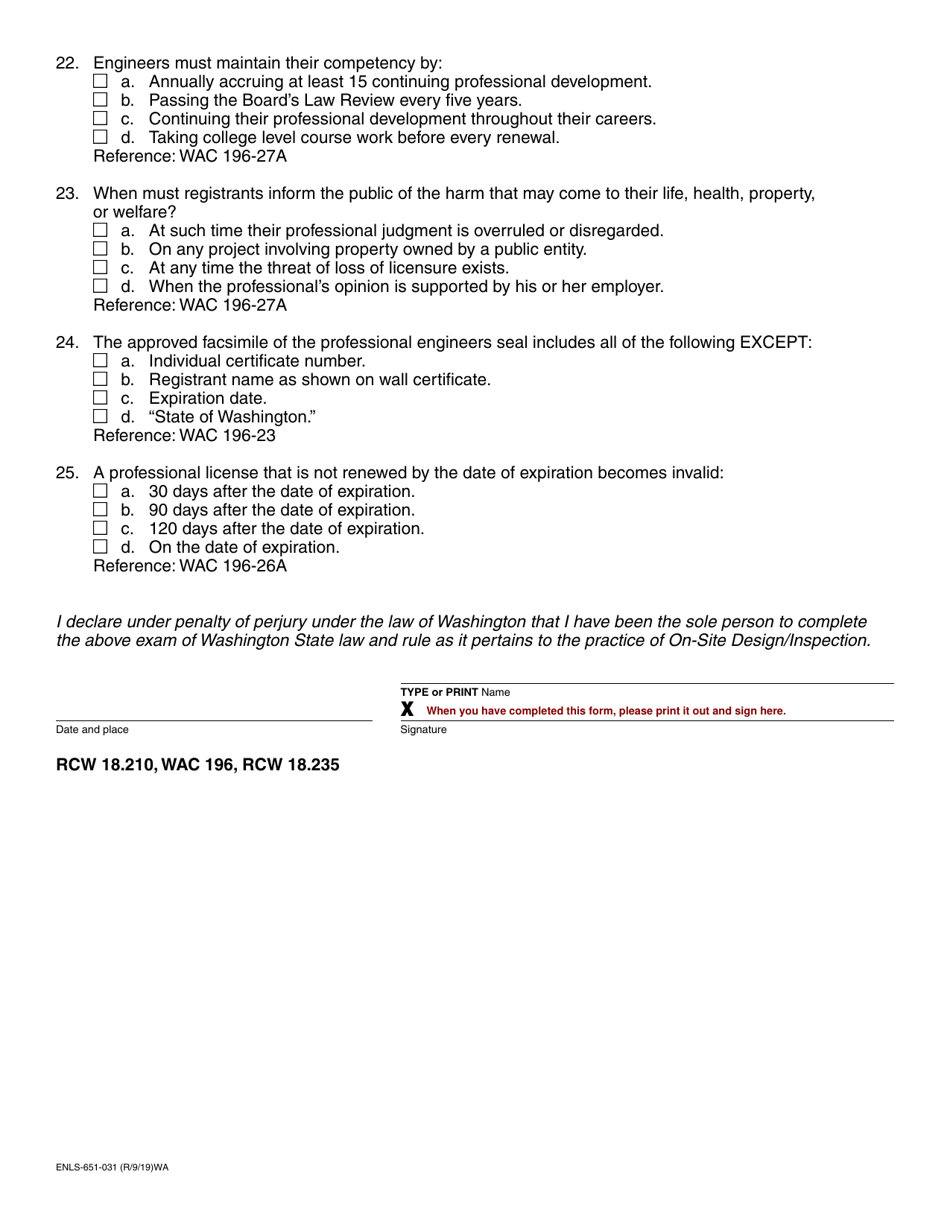
Q: What is the ENLS-651-031 Engineer Law Review Exam?
A: The ENLS-651-031 Engineer Law Review Exam is an examination for engineers in Washington State to review laws related to the profession.

Q: Who is required to take the ENLS-651-031 Engineer Law Review Exam?
A: Engineers in Washington State are required to take the ENLS-651-031 Engineer Law Review Exam.

Q: What is the purpose of the ENLS-651-031 Engineer Law Review Exam?
A: The purpose of the ENLS-651-031 Engineer Law Review Exam is to ensure that engineers in Washington State are knowledgeable about the laws that govern their profession.

Q: How do I register for the ENLS-651-031 Engineer Law Review Exam?
A: To register for the ENLS-651-031 Engineer Law Review Exam, you need to contact the relevant licensing board or agency in Washington State.

Q: What topics are covered in the ENLS-651-031 Engineer Law Review Exam?
A: The ENLS-651-031 Engineer Law Review Exam covers various topics related to engineering laws, including licensing requirements, ethical standards, and professional liability.

Q: Is the ENLS-651-031 Engineer Law Review Exam difficult?
A: The difficulty of the ENLS-651-031 Engineer Law Review Exam may vary depending on an individual's knowledge and preparation. It is recommended to study and review the relevant laws and regulations before taking the exam.

Q: What are the consequences of failing the ENLS-651-031 Engineer Law Review Exam?
A: Failing the ENLS-651-031 Engineer Law Review Exam may result in the need to retake the exam or additional requirements for licensure or professional practice in Washington State.

Q: How often is the ENLS-651-031 Engineer Law Review Exam offered?
A: The frequency of the ENLS-651-031 Engineer Law Review Exam may vary. It is best to check with the licensing board or agency in Washington State for the exam schedule.

Q: Is the ENLS-651-031 Engineer Law Review Exam applicable in other states?
A: The ENLS-651-031 Engineer Law Review Exam is specific to Washington State and may not be applicable in other states. Each state has its own licensing and examination requirements for engineers.

ADVERTISEMENT

Form Details:

  • Released on September 1, 2019;
  • The latest edition provided by the Washington State Department of Licensing;
  • Easy to use and ready to print;
  • Quick to customize;
  • Compatible with most PDF-viewing applications;
  • Fill out the form in our online filing application.

Download a fillable version of Form ENLS-651-031 by clicking the link below or browse more documents and templates provided by the Washington State Department of Licensing.

Download Form ENLS-651-031 Engineer Law Review Exam - Washington

4.5 of 5 (16 votes)
  • Form ENLS-651-031 Engineer Law Review Exam - Washington

    1

  • Form ENLS-651-031 Engineer Law Review Exam - Washington, Page 2

    2

  • Form ENLS-651-031 Engineer Law Review Exam - Washington, Page 3

    3

  • Form ENLS-651-031 Engineer Law Review Exam - Washington, Page 4

    4

  • Form ENLS-651-031 Engineer Law Review Exam - Washington, Page 1
  • Form ENLS-651-031 Engineer Law Review Exam - Washington, Page 2
  • Form ENLS-651-031 Engineer Law Review Exam - Washington, Page 3
  • Form ENLS-651-031 Engineer Law Review Exam - Washington, Page 4
Prev 1 2 3 4 Next
ADVERTISEMENT