Form WPF All Cases02-010 Motion for Surrender of Weapons (Mt) - Washington

Notification Icon This version of the form is not currently in use and is provided for reference only. Download this version of Form WPF All Cases02-010 for the current year.

Form WPF All Cases02-010 Motion for Surrender of Weapons (Mt) - Washington

What Is Form WPF All Cases02-010?

This is a legal form that was released by the Washington State Courts - a government authority operating within Washington. As of today, no separate filing guidelines for the form are provided by the issuing department.

FAQ

Q: What is a Form WPF All Cases02-010?
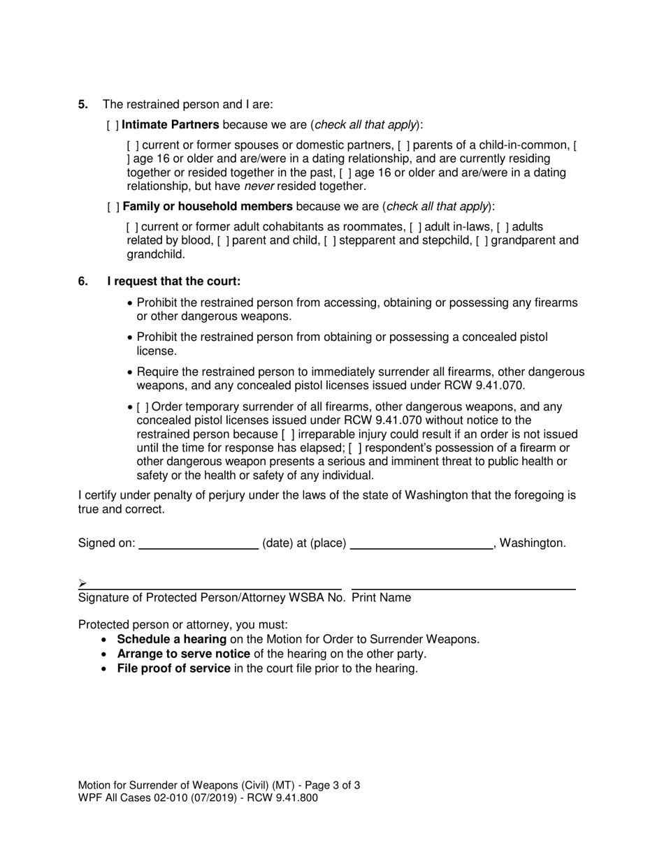
A: Form WPF All Cases02-010 is a motion for surrender of weapons in the state of Washington.

Q: When is Form WPF All Cases02-010 used?
A: Form WPF All Cases02-010 is used when someone wants to request the surrender of weapons in a legal case in the state of Washington.

Q: Who can file Form WPF All Cases02-010?
A: Any party involved in a legal case in the state of Washington can file Form WPF All Cases02-010.

Q: What does Form WPF All Cases02-010 require?
A: Form WPF All Cases02-010 requires information about the case, the weapons to be surrendered, and the reasons for the request.

Q: Is there a fee for filing Form WPF All Cases02-010?
A: The filing fee for Form WPF All Cases02-010 may vary depending on the court, so it's best to check with the specific court where the case is being heard.

Q: What happens after filing Form WPF All Cases02-010?
A: After filing Form WPF All Cases02-010, the court will review the request and make a decision on whether to grant or deny the motion for surrender of weapons.

ADVERTISEMENT

Form Details:

  • Released on July 1, 2019;
  • The latest edition provided by the Washington State Courts;
  • Easy to use and ready to print;
  • Quick to customize;
  • Compatible with most PDF-viewing applications;
  • Fill out the form in our online filing application.

Download a printable version of Form WPF All Cases02-010 by clicking the link below or browse more documents and templates provided by the Washington State Courts.

Download Form WPF All Cases02-010 Motion for Surrender of Weapons (Mt) - Washington

4.4 of 5 (10 votes)
  • Form WPF All Cases02-010 Motion for Surrender of Weapons (Mt) - Washington

    1

  • Form WPF All Cases02-010 Motion for Surrender of Weapons (Mt) - Washington, Page 2

    2

  • Form WPF All Cases02-010 Motion for Surrender of Weapons (Mt) - Washington, Page 3

    3

  • Form WPF All Cases02-010 Motion for Surrender of Weapons (Mt) - Washington, Page 1
  • Form WPF All Cases02-010 Motion for Surrender of Weapons (Mt) - Washington, Page 2
  • Form WPF All Cases02-010 Motion for Surrender of Weapons (Mt) - Washington, Page 3
Prev 1 2 3 Next
ADVERTISEMENT

Related Documents