Form XR141 Extreme Risk Protection Order - Washington

Notification Icon This version of the form is not currently in use and is provided for reference only. Download this version of Form XR141 for the current year.

Form XR141 Extreme Risk Protection Order - Washington

What Is Form XR141?

This is a legal form that was released by the Washington State Courts - a government authority operating within Washington. Check the official instructions before completing and submitting the form.

FAQ

Q: What is Form XR141?
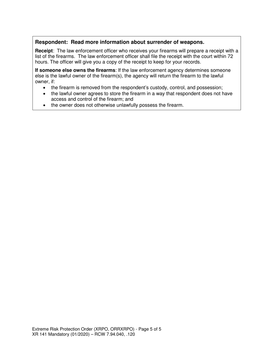
A: Form XR141 is the Extreme Risk Protection Order (ERPO) form used in Washington.

Q: What is an Extreme Risk Protection Order?
A: An Extreme Risk Protection Order (ERPO) is a court order that temporarily restricts a person's access to firearms if they pose a significant risk to themselves or others.

Q: Who can file for an Extreme Risk Protection Order?
A: A family or household member, as well as certain law enforcement officers, can file for an Extreme Risk Protection Order.

Q: What is the purpose of an Extreme Risk Protection Order?
A: The purpose of an Extreme Risk Protection Order is to prevent individuals who are at high risk of harming themselves or others from accessing firearms.

Q: How long does an Extreme Risk Protection Order last?
A: In Washington, an Extreme Risk Protection Order can be issued for up to one year.

Q: What happens if someone violates an Extreme Risk Protection Order?
A: Violating an Extreme Risk Protection Order is a criminal offense, and the individual may be subject to penalties, including imprisonment and fines.

Q: Can an Extreme Risk Protection Order be extended?
A: Yes, an Extreme Risk Protection Order can be extended if there is evidence that the individual still poses a significant risk.

Q: What rights are protected when an Extreme Risk Protection Order is issued?
A: While an Extreme Risk Protection Order temporarily restricts a person's access to firearms, other constitutional rights, such as the right to due process, are still protected.

Q: How can someone request an Extreme Risk Protection Order?
A: To request an Extreme Risk Protection Order, individuals can fill out Form XR141 and submit it to the court in their county.

ADVERTISEMENT

Form Details:

  • Released on January 1, 2020;
  • The latest edition provided by the Washington State Courts;
  • Easy to use and ready to print;
  • Available in Korean;
  • Quick to customize;
  • Compatible with most PDF-viewing applications;
  • Fill out the form in our online filing application.

Download a printable version of Form XR141 by clicking the link below or browse more documents and templates provided by the Washington State Courts.

Download Form XR141 Extreme Risk Protection Order - Washington

4.8 of 5 (28 votes)
  • Form XR141 Extreme Risk Protection Order - Washington

    1

  • Form XR141 Extreme Risk Protection Order - Washington, Page 2

    2

  • Form XR141 Extreme Risk Protection Order - Washington, Page 3

    3

  • Form XR141 Extreme Risk Protection Order - Washington, Page 4

    4

  • Form XR141 Extreme Risk Protection Order - Washington, Page 5

    5

  • Form XR141 Extreme Risk Protection Order - Washington, Page 1
  • Form XR141 Extreme Risk Protection Order - Washington, Page 2
  • Form XR141 Extreme Risk Protection Order - Washington, Page 3
  • Form XR141 Extreme Risk Protection Order - Washington, Page 4
  • Form XR141 Extreme Risk Protection Order - Washington, Page 5
Prev 1 2 3 4 5 Next
ADVERTISEMENT