Form CrRLJ09.0200 Order on Motion Re: Vacating Conviction - Washington

Notification Icon This version of the form is not currently in use and is provided for reference only. Download this version of Form CrRLJ09.0200 for the current year.

Form CrRLJ09.0200 Order on Motion Re: Vacating Conviction - Washington

What Is Form CrRLJ09.0200?

This is a legal form that was released by the Washington State Courts - a government authority operating within Washington. As of today, no separate filing guidelines for the form are provided by the issuing department.

FAQ

Q: What is Form CrRLJ09.0200?
A: Form CrRLJ09.0200 is an Order on Motion Re: Vacating Conviction in the state of Washington.

Q: What does this form pertain to?
A: This form pertains to requesting the vacation of a conviction.

Q: Who can use this form?
A: This form can be used by individuals who wish to have their conviction vacated in Washington.

Q: What information is required in this form?
A: This form requires information such as the case number, defendant's name, date of conviction, and the grounds for vacating the conviction.

Q: What is the purpose of vacating a conviction?
A: The purpose of vacating a conviction is to have it removed from your criminal record.

Q: What are the grounds for vacating a conviction?
A: Grounds for vacating a conviction may include a constitutional error, newly discovered evidence, or a significant change in the law.

Q: Is there a fee for filing this form?
A: Yes, there is a filing fee associated with submitting this form.

Q: Can I file this form if I have multiple convictions?
A: Yes, you can file this form for each individual conviction you wish to have vacated.

Q: What happens after I file this form?
A: After filing this form, a hearing may be scheduled to determine whether the conviction should be vacated.

ADVERTISEMENT

Form Details:

  • Released on December 1, 2019;
  • The latest edition provided by the Washington State Courts;
  • Easy to use and ready to print;
  • Quick to customize;
  • Compatible with most PDF-viewing applications;
  • Fill out the form in our online filing application.

Download a printable version of Form CrRLJ09.0200 by clicking the link below or browse more documents and templates provided by the Washington State Courts.

Download Form CrRLJ09.0200 Order on Motion Re: Vacating Conviction - Washington

4.6 of 5 (28 votes)
  • Form CrRLJ09.0200 Order on Motion Re: Vacating Conviction - Washington

    1

  • Form CrRLJ09.0200 Order on Motion Re: Vacating Conviction - Washington, Page 2

    2

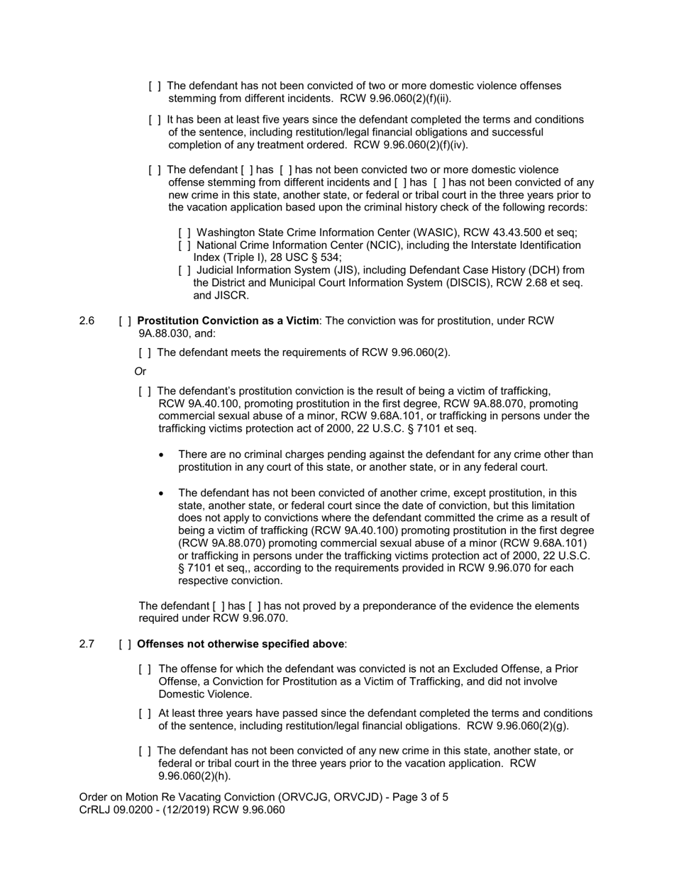
  • Form CrRLJ09.0200 Order on Motion Re: Vacating Conviction - Washington, Page 3

    3

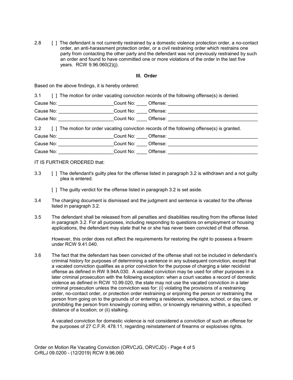
  • Form CrRLJ09.0200 Order on Motion Re: Vacating Conviction - Washington, Page 4

    4

  • Form CrRLJ09.0200 Order on Motion Re: Vacating Conviction - Washington, Page 5

    5

  • Form CrRLJ09.0200 Order on Motion Re: Vacating Conviction - Washington, Page 1
  • Form CrRLJ09.0200 Order on Motion Re: Vacating Conviction - Washington, Page 2
  • Form CrRLJ09.0200 Order on Motion Re: Vacating Conviction - Washington, Page 3
  • Form CrRLJ09.0200 Order on Motion Re: Vacating Conviction - Washington, Page 4
  • Form CrRLJ09.0200 Order on Motion Re: Vacating Conviction - Washington, Page 5
Prev 1 2 3 4 5 Next
ADVERTISEMENT

Related Documents