Form CR08.0920 Order on Motion Re: Vacating Record of Felony Conviction - Washington

Notification Icon This version of the form is not currently in use and is provided for reference only. Download this version of Form CR08.0920 for the current year.

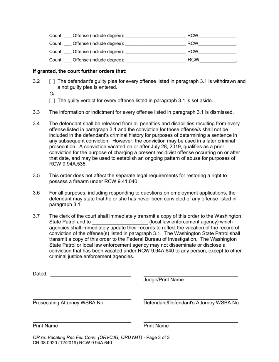
Form CR08.0920 Order on Motion Re: Vacating Record of Felony Conviction - Washington

What Is Form CR08.0920?

This is a legal form that was released by the Washington Superior Court - a government authority operating within Washington. As of today, no separate filing guidelines for the form are provided by the issuing department.

FAQ

Q: What is Form CR08.0920?
A: Form CR08.0920 is a legal document used in Washington.

Q: What is the purpose of Form CR08.0920?
A: The purpose of Form CR08.0920 is to request the vacation of a record of felony conviction in Washington.

Q: Who can use Form CR08.0920?
A: Form CR08.0920 can be used by individuals who are seeking to have their felony conviction record vacated in Washington.

Q: How can Form CR08.0920 be used?
A: Form CR08.0920 can be used by filling out the necessary information and filing it with the appropriate court.

Q: What does it mean to vacate a record of felony conviction?
A: Vacating a record of felony conviction means that the conviction is no longer considered valid and may be removed from the individual's criminal record.

Q: Is there a fee to file Form CR08.0920?
A: There may be a fee associated with filing Form CR08.0920, which can vary depending on the court.

ADVERTISEMENT

Form Details:

  • Released on December 1, 2019;
  • The latest edition provided by the Washington Superior Court;
  • Easy to use and ready to print;
  • Quick to customize;
  • Compatible with most PDF-viewing applications;
  • Fill out the form in our online filing application.

Download a printable version of Form CR08.0920 by clicking the link below or browse more documents and templates provided by the Washington Superior Court.

Download Form CR08.0920 Order on Motion Re: Vacating Record of Felony Conviction - Washington

4.6 of 5 (29 votes)
  • Form CR08.0920 Order on Motion Re: Vacating Record of Felony Conviction - Washington

    1

  • Form CR08.0920 Order on Motion Re: Vacating Record of Felony Conviction - Washington, Page 2

    2

  • Form CR08.0920 Order on Motion Re: Vacating Record of Felony Conviction - Washington, Page 3

    3

  • Form CR08.0920 Order on Motion Re: Vacating Record of Felony Conviction - Washington, Page 1
  • Form CR08.0920 Order on Motion Re: Vacating Record of Felony Conviction - Washington, Page 2
  • Form CR08.0920 Order on Motion Re: Vacating Record of Felony Conviction - Washington, Page 3
Prev 1 2 3 Next
ADVERTISEMENT

Related Documents