CBP Form 7553 Notice of Intent to Export, Destroy or Return Merchandise for Purposes of Drawback

Notification Icon This version of the form is not currently in use and is provided for reference only. Download this version of CBP Form 7553 for the current year.

CBP Form 7553 Notice of Intent to Export, Destroy or Return Merchandise for Purposes of Drawback

What Is CBP Form 7553?

This is a legal form that was released by the U.S. Department of Homeland Security - Customs and Border Protection on December 1, 2019 and used country-wide. As of today, no separate filing guidelines for the form are provided by the issuing department.

FAQ

Q: What is CBP Form 7553?
A: CBP Form 7553 is the Notice of Intent to Export, Destroy or Return Merchandise for Purposes of Drawback.

Q: What is the purpose of CBP Form 7553?
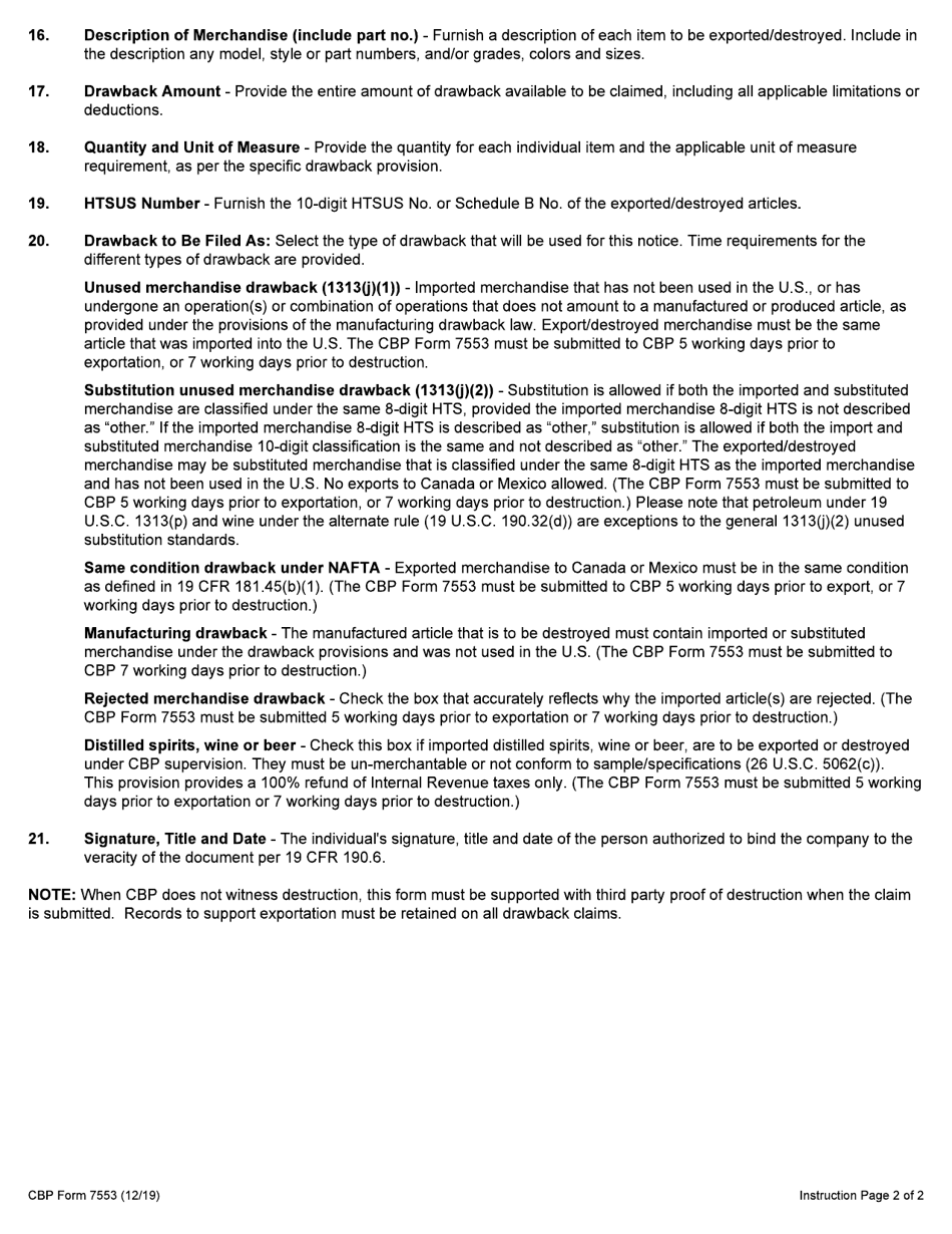
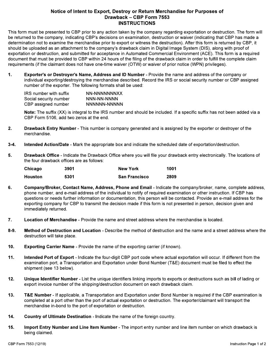
A: The purpose of CBP Form 7553 is to notify the U.S. Customs and Border Protection (CBP) of the intent to export, destroy, or return merchandise for purposes of drawback.

Q: What is drawback?
A: Drawback is a refund of certain duties, taxes, and fees paid on imported merchandise, when that merchandise is subsequently exported or destroyed.

Q: Who needs to file CBP Form 7553?
A: Any person or entity who intends to claim drawback on exported, destroyed, or returned merchandise needs to file CBP Form 7553.

Q: Are there any fees associated with filing CBP Form 7553?
A: There are no fees associated with filing CBP Form 7553.

Q: What information is required on CBP Form 7553?
A: CBP Form 7553 requires information such as the name and address of the exporter, description of the merchandise, and details of the intended export, destruction, or return.

Q: When should I file CBP Form 7553?
A: CBP Form 7553 should be filed as soon as possible, but no later than five business days before the intended export, destruction, or return of the merchandise.

Q: Is CBP Form 7553 mandatory?
A: Filing CBP Form 7553 is mandatory if you intend to claim drawback on exported, destroyed, or returned merchandise.

Q: Can I file CBP Form 7553 electronically?
A: Yes, CBP Form 7553 can be filed electronically through the Automated Commercial Environment (ACE) system.

ADVERTISEMENT

Form Details:

  • Released on December 1, 2019;
  • The latest available edition released by the U.S. Department of Homeland Security - Customs and Border Protection;
  • Easy to use and ready to print;
  • Yours to fill out and keep for your records;
  • Compatible with most PDF-viewing applications;
  • Fill out the form in our online filing application.

Download a fillable version of CBP Form 7553 by clicking the link below or browse more documents and templates provided by the U.S. Department of Homeland Security - Customs and Border Protection.

Download CBP Form 7553 Notice of Intent to Export, Destroy or Return Merchandise for Purposes of Drawback

4.6 of 5 (28 votes)
  • CBP Form 7553 Notice of Intent to Export, Destroy or Return Merchandise for Purposes of Drawback

    1

  • CBP Form 7553 Notice of Intent to Export, Destroy or Return Merchandise for Purposes of Drawback, Page 2

    2

  • CBP Form 7553 Notice of Intent to Export, Destroy or Return Merchandise for Purposes of Drawback, Page 3

    3

  • CBP Form 7553 Notice of Intent to Export, Destroy or Return Merchandise for Purposes of Drawback, Page 4

    4

  • CBP Form 7553 Notice of Intent to Export, Destroy or Return Merchandise for Purposes of Drawback, Page 5

    5

  • CBP Form 7553 Notice of Intent to Export, Destroy or Return Merchandise for Purposes of Drawback, Page 1
  • CBP Form 7553 Notice of Intent to Export, Destroy or Return Merchandise for Purposes of Drawback, Page 2
  • CBP Form 7553 Notice of Intent to Export, Destroy or Return Merchandise for Purposes of Drawback, Page 3
  • CBP Form 7553 Notice of Intent to Export, Destroy or Return Merchandise for Purposes of Drawback, Page 4
  • CBP Form 7553 Notice of Intent to Export, Destroy or Return Merchandise for Purposes of Drawback, Page 5
Prev 1 2 3 4 5 Next
ADVERTISEMENT

Related Documents