CBP Form 7553 Notice of Intent to Export, Destroy or Return Merchandise for Purposes of Drawback

CBP Form 7553 Notice of Intent to Export, Destroy or Return Merchandise for Purposes of Drawback

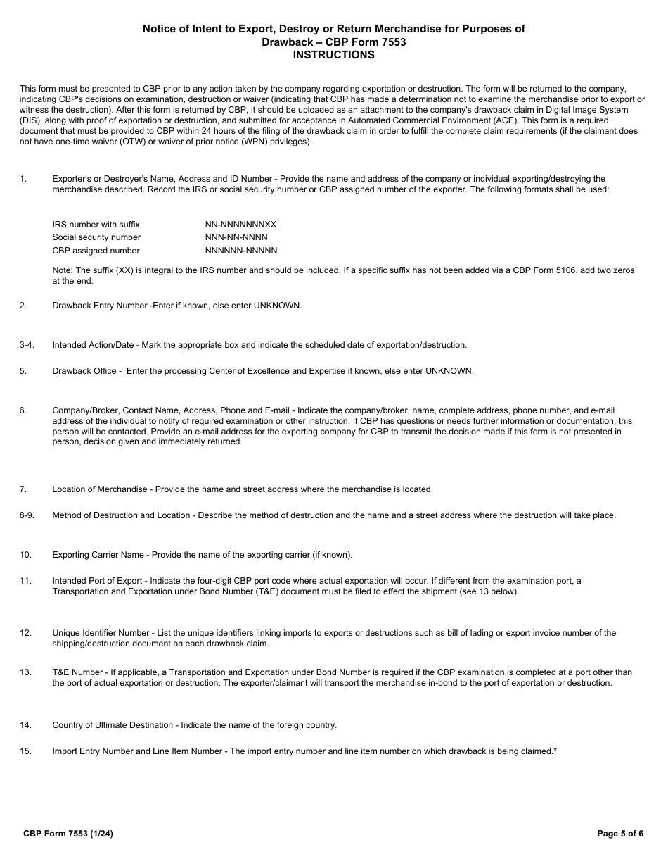
What Is CBP Form 7553?

This is a legal form that was released by the U.S. Department of Homeland Security - Customs and Border Protection on August 1, 2022 and used country-wide. As of today, no separate filing guidelines for the form are provided by the issuing department.

Form Details:

  • Released on August 1, 2022;
  • The latest available edition released by the U.S. Department of Homeland Security - Customs and Border Protection;
  • Easy to use and ready to print;
  • Yours to fill out and keep for your records;
  • Compatible with most PDF-viewing applications;
  • Fill out the form in our online filing application.

Download a fillable version of CBP Form 7553 by clicking the link below or browse more documents and templates provided by the U.S. Department of Homeland Security - Customs and Border Protection.

ADVERTISEMENT

Other Revisions

Download CBP Form 7553 Notice of Intent to Export, Destroy or Return Merchandise for Purposes of Drawback

4.6 of 5 (122 votes)
  • CBP Form 7553 Notice of Intent to Export, Destroy or Return Merchandise for Purposes of Drawback

    1

  • CBP Form 7553 Notice of Intent to Export, Destroy or Return Merchandise for Purposes of Drawback, Page 2

    2

  • CBP Form 7553 Notice of Intent to Export, Destroy or Return Merchandise for Purposes of Drawback, Page 3

    3

  • CBP Form 7553 Notice of Intent to Export, Destroy or Return Merchandise for Purposes of Drawback, Page 4

    4

  • CBP Form 7553 Notice of Intent to Export, Destroy or Return Merchandise for Purposes of Drawback, Page 5

    5

  • CBP Form 7553 Notice of Intent to Export, Destroy or Return Merchandise for Purposes of Drawback, Page 6

    6

  • CBP Form 7553 Notice of Intent to Export, Destroy or Return Merchandise for Purposes of Drawback, Page 1
  • CBP Form 7553 Notice of Intent to Export, Destroy or Return Merchandise for Purposes of Drawback, Page 2
  • CBP Form 7553 Notice of Intent to Export, Destroy or Return Merchandise for Purposes of Drawback, Page 3
  • CBP Form 7553 Notice of Intent to Export, Destroy or Return Merchandise for Purposes of Drawback, Page 4
  • CBP Form 7553 Notice of Intent to Export, Destroy or Return Merchandise for Purposes of Drawback, Page 5
  • CBP Form 7553 Notice of Intent to Export, Destroy or Return Merchandise for Purposes of Drawback, Page 6
Prev 1 2 3 4 5 6 Next
ADVERTISEMENT