CBP Form 7553 Notice of Intent to Export, Destroy or Return Merchandise for Purposes of Drawback

Notification Icon This version of the form is not currently in use and is provided for reference only. Download this version of CBP Form 7553 for the current year.

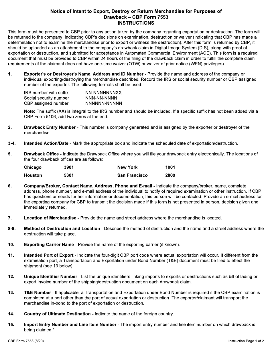
CBP Form 7553 Notice of Intent to Export, Destroy or Return Merchandise for Purposes of Drawback

What Is CBP Form 7553?

This is a legal form that was released by the U.S. Department of Homeland Security - Customs and Border Protection on August 1, 2020 and used country-wide. As of today, no separate filing guidelines for the form are provided by the issuing department.

FAQ

Q: What is CBP Form 7553?
A: CBP Form 7553 is the Notice of Intent to Export, Destroy or Return Merchandise for Purposes of Drawback.

Q: What is the purpose of CBP Form 7553?
A: The purpose of CBP Form 7553 is to inform Customs and Border Protection (CBP) of your intent to export, destroy, or return merchandise for purposes of obtaining a drawback.

Q: What is a drawback?
A: A drawback is a refund of customs duties, taxes, and fees that were paid on imported merchandise when that merchandise is exported, destroyed, or returned to the United States.

Q: Who needs to submit CBP Form 7553?
A: Any individual or entity planning to export, destroy, or return merchandise for purposes of obtaining a drawback needs to submit CBP Form 7553.

ADVERTISEMENT

Form Details:

  • Released on August 1, 2020;
  • The latest available edition released by the U.S. Department of Homeland Security - Customs and Border Protection;
  • Easy to use and ready to print;
  • Yours to fill out and keep for your records;
  • Compatible with most PDF-viewing applications;
  • Fill out the form in our online filing application.

Download a fillable version of CBP Form 7553 by clicking the link below or browse more documents and templates provided by the U.S. Department of Homeland Security - Customs and Border Protection.

Download CBP Form 7553 Notice of Intent to Export, Destroy or Return Merchandise for Purposes of Drawback

4.5 of 5 (19 votes)
  • CBP Form 7553 Notice of Intent to Export, Destroy or Return Merchandise for Purposes of Drawback

    1

  • CBP Form 7553 Notice of Intent to Export, Destroy or Return Merchandise for Purposes of Drawback, Page 2

    2

  • CBP Form 7553 Notice of Intent to Export, Destroy or Return Merchandise for Purposes of Drawback, Page 3

    3

  • CBP Form 7553 Notice of Intent to Export, Destroy or Return Merchandise for Purposes of Drawback, Page 4

    4

  • CBP Form 7553 Notice of Intent to Export, Destroy or Return Merchandise for Purposes of Drawback, Page 5

    5

  • CBP Form 7553 Notice of Intent to Export, Destroy or Return Merchandise for Purposes of Drawback, Page 1
  • CBP Form 7553 Notice of Intent to Export, Destroy or Return Merchandise for Purposes of Drawback, Page 2
  • CBP Form 7553 Notice of Intent to Export, Destroy or Return Merchandise for Purposes of Drawback, Page 3
  • CBP Form 7553 Notice of Intent to Export, Destroy or Return Merchandise for Purposes of Drawback, Page 4
  • CBP Form 7553 Notice of Intent to Export, Destroy or Return Merchandise for Purposes of Drawback, Page 5
Prev 1 2 3 4 5 Next
ADVERTISEMENT

Related Documents